🇳🇴 🇬🇧 🇩🇪 🇨🇿 🇫🇮

Meteor über Mysen 2026-04-27 00:00:37 UTC

KML-Datei  |  Interaktive Karte

Die Karte zeigt die Peilungen für den Meteor. Die helleren Linien zeigen die Richtungen von den Beobachtungsorten beim Erscheinen des Meteors, und die dunkleren Linien, wo er zuletzt gesehen wurde. Der blaue Pfeil zeigt die sichtbare Bahn des Meteors.

static map
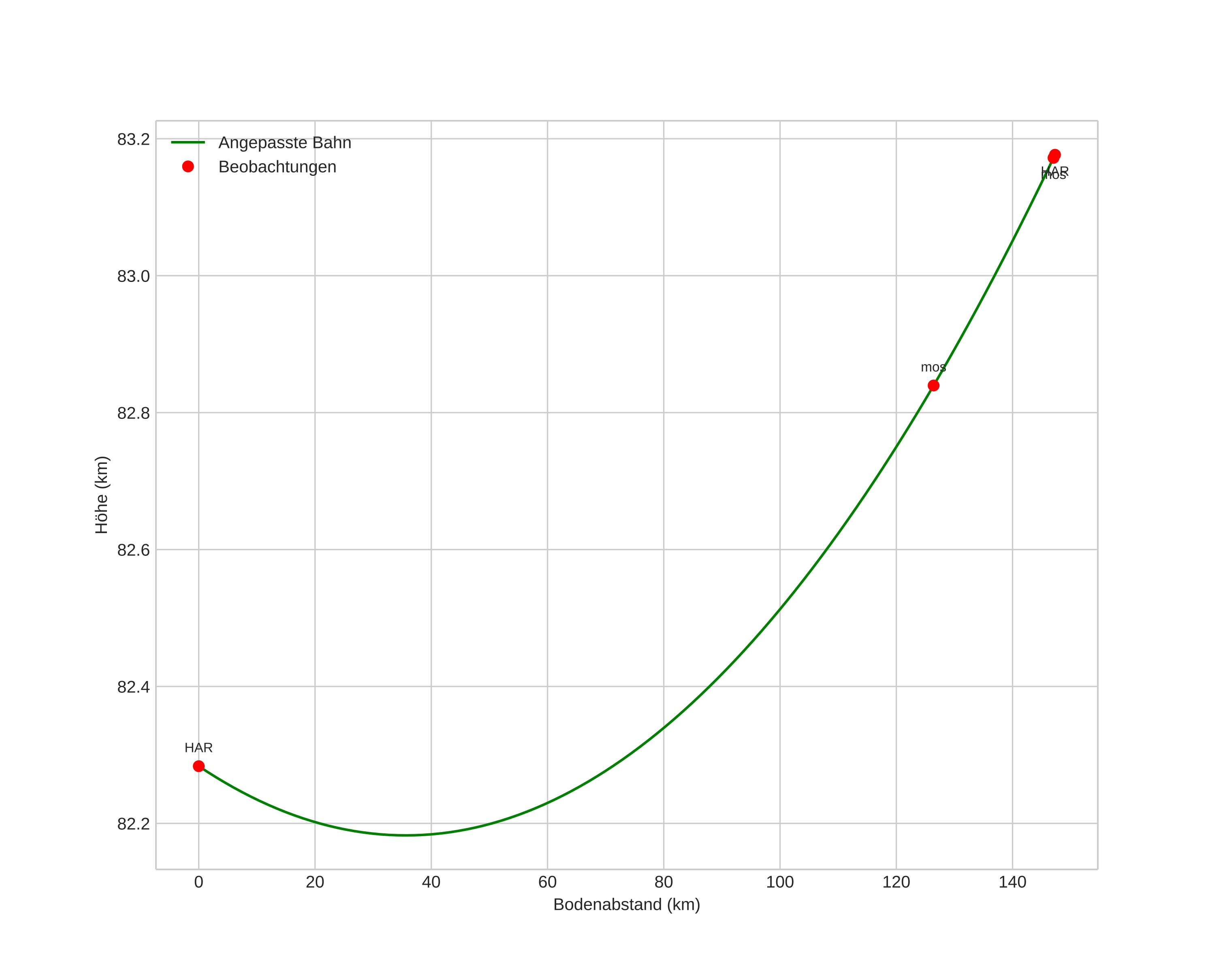
height profile
Atmosphärische Bahn des Meteors:
Anfangshöhe: 82,3 km
Endhöhe: 83,2 km
Startposition: 59,304N 8,934E
Endposition: 59,610N 11,470E
Richtung: 75,6°
Neigungswinkel: -0,4°
Eintrittsgeschwindigkeit: 16,7 km/s
Rektaszension des Radianten: 09:09 (137,3°)
Deklination des Radianten: -21,2°
Meteorstrom: sporadisch
Bahnelemente des Meteoroiden:
Periheldistanz: 0,999 AU
Exzentrizität: 0,823
Inklination: 10,7°
Länge des aufsteigenden Knotens: 216,4°
Argument des Perihels: 10,4°
Mittlere Anomalie: 359,4°
Epoche: 2026 APR 27 00:00:37
orbit plot

Nicht-interaktives Diagramm | Interaktives Diagramm

position vs time
speed and acceleration

Harestua (HAR) cam7


preview
Videos
• Original
Bilder
• Gnomonisch
• Original
Textdateien
• Erkennung
• Beobachtung
• Koordinaten
• Protokoll
Helligkeit

Moss (mos) cam6


preview
Videos
• Original
Bilder
• Gnomonisch
• Original
Textdateien
• Erkennung
• Beobachtung
• Koordinaten
• Protokoll
Helligkeit