🇳🇴 🇬🇧 🇩🇪 🇨🇿 🇫🇮

Meteor Mysenin yllä 2026-04-27 00:00:37 UTC

KML-tiedosto  |  Interaktiivinen kartta

Kartta näyttää meteorin suuntahavainnot. Vaaleammat viivat näyttävät suunnat havaintoasemilta meteorin ilmestyessä, ja tummemmat viivat näyttävät, missä se viimeksi nähtiin. Sininen nuoli näyttää meteorin näkyvän lennon.

static map
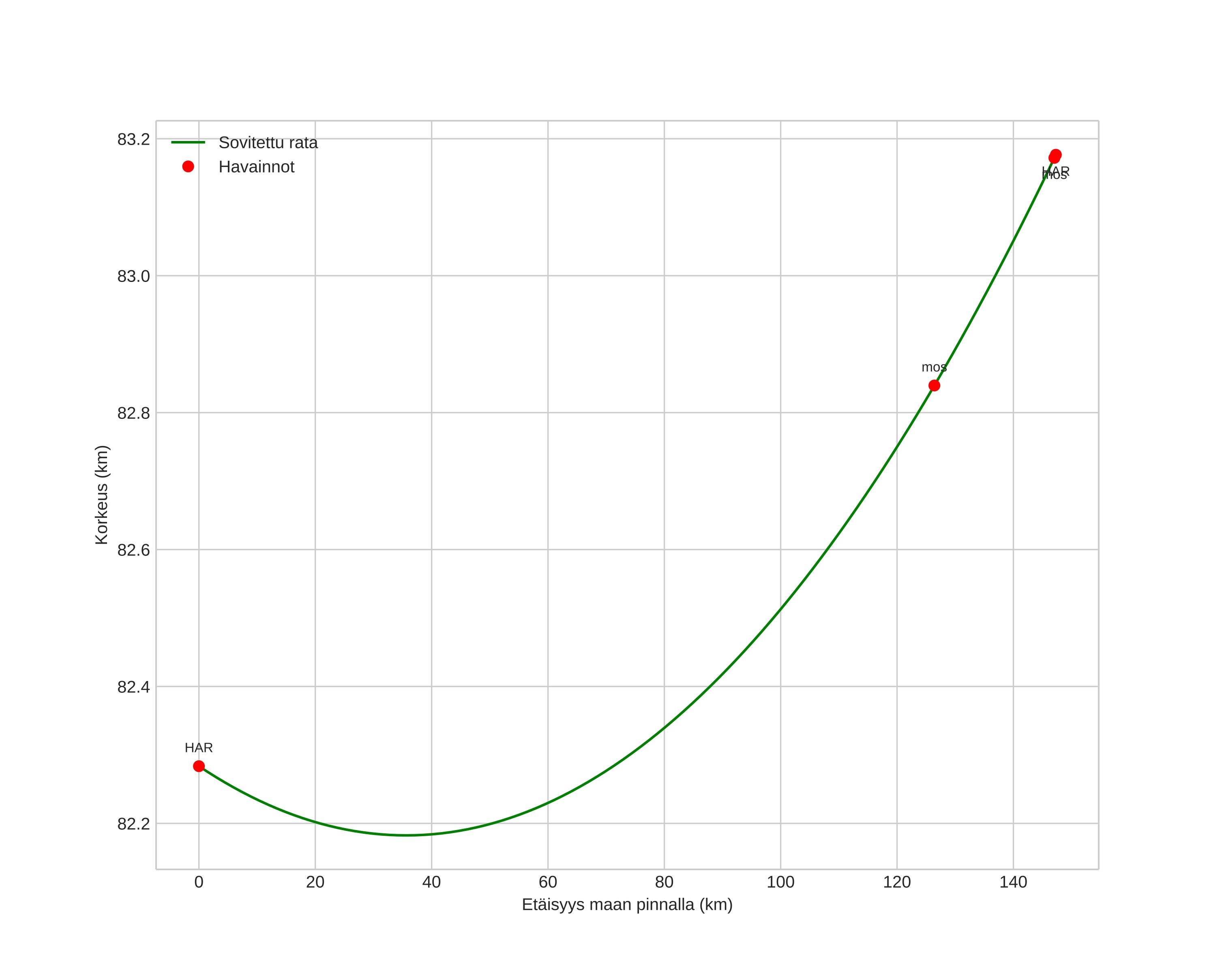
height profile
Meteorin ilmakehärata:
Alkukorkeus: 82,3 km
Loppukorkeus: 83,2 km
Alkupiste: 59,304N 8,934E
Loppupiste: 59,610N 11,470E
Suunta: 75,6°
Kallistuskulma: -0,4°
Tulonopeus: 16,7 km/s
Radiantin R,A,: 09:09 (137,3°)
Radiantin Dekl,: -21,2°
Meteoriparvi: Sporadinen
Meteoroidin rataelementit:
Perihelietäisyys: 0,999 AU
Eksentrisyys: 0,823
Inklinaatio: 10,7°
Nousevan solmun pituus: 216,4°
Perihelin argumentti: 10,4°
Keskianomalia: 359,4°
Epookki: 2026 APR 27 00:00:37
orbit plot

Ei-interaktiivinen kuvaaja | Interaktiivinen kuvaaja

position vs time
speed and acceleration

Harestua (HAR) cam7


preview
Videot:
• Alkuperäinen
Kuvat:
• Gnomoninen
• Alkuperäinen
Tekstitiedostot:
• Havaintoraportti
• Observaatio
• Koordinaatit
• Loki
Kirkkaus

Moss (mos) cam6


preview
Videot:
• Alkuperäinen
Kuvat:
• Gnomoninen
• Alkuperäinen
Tekstitiedostot:
• Havaintoraportti
• Observaatio
• Koordinaatit
• Loki
Kirkkaus