🇳🇴 🇬🇧 🇩🇪 🇨🇿 🇫🇮

Meteor Risørin yllä 2026-04-29 01:30:48 UTC

KML-tiedosto  |  Interaktiivinen kartta

Kartta näyttää meteorin suuntahavainnot. Vaaleammat viivat näyttävät suunnat havaintoasemilta meteorin ilmestyessä, ja tummemmat viivat näyttävät, missä se viimeksi nähtiin. Sininen nuoli näyttää meteorin näkyvän lennon.

static map
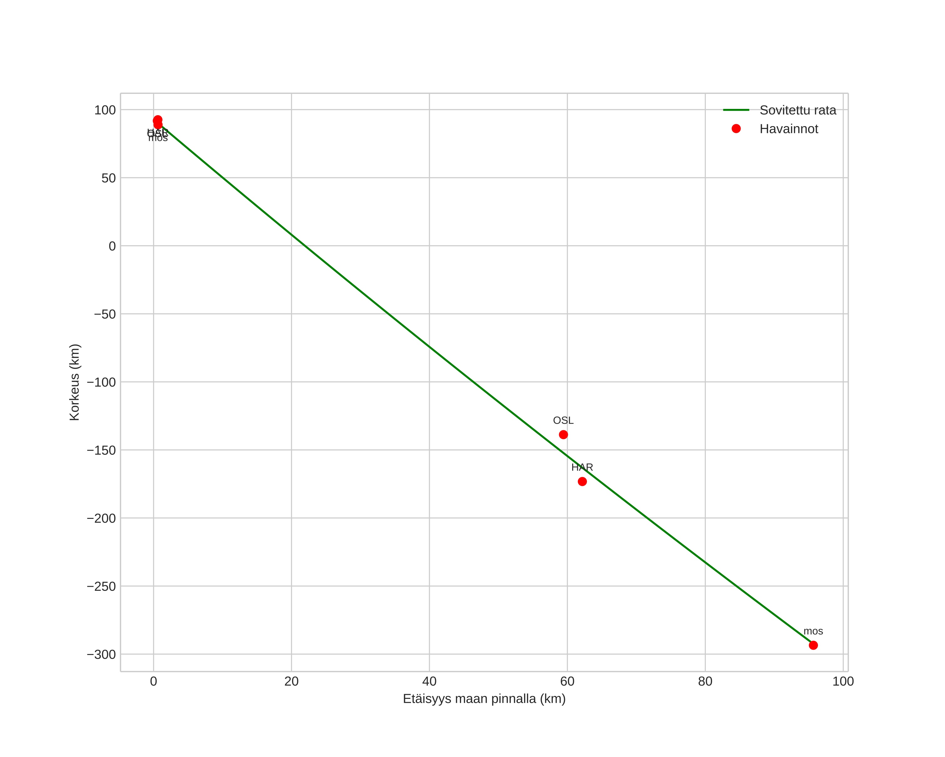
height profile
Meteorin ilmakehärata:
Alkukorkeus: 92,8 km
Loppukorkeus: -293,9 km
Alkupiste: 59,410N 8,774E
Loppupiste: 58,607N 9,389E
Suunta: 158,2°
Kallistuskulma: 76,1°
Tulonopeus: 39,1 km/s
Radiantin R,A,: 15:21 (230,4°)
Radiantin Dekl,: 71,8°
Meteoriparvi: Sporadinen
Meteoroidin rataelementit:
Perihelietäisyys: 1,006 AU
Eksentrisyys: 2,209
Inklinaatio: 43,1°
Nousevan solmun pituus: 38,4°
Perihelin argumentti: 182,8°
Keskianomalia: -2,1°
Epookki: 2026 APR 29 01:30:48
orbit plot

Ei-interaktiivinen kuvaaja | Interaktiivinen kuvaaja

position vs time
speed and acceleration

Harestua (HAR) cam7


preview
Videot:
• Alkuperäinen
Kuvat:
• Gnomoninen
• Alkuperäinen
Tekstitiedostot:
• Havaintoraportti
• Observaatio
• Koordinaatit
• Loki
Kirkkaus

Moss (mos) cam5


preview
Videot:
• Alkuperäinen
Kuvat:
• Gnomoninen
• Alkuperäinen
Tekstitiedostot:
• Havaintoraportti
• Observaatio
• Koordinaatit
• Loki
Kirkkaus

Voksenlia (OSL) cam3


preview
Videot:
• Alkuperäinen
Kuvat:
• Gnomoninen
• Alkuperäinen
Tekstitiedostot:
• Havaintoraportti
• Observaatio
• Koordinaatit
• Loki
Kirkkaus