🇳🇴 🇬🇧 🇩🇪 🇨🇿 🇫🇮

Meteor over Risør 2026-04-29 01:30:48 UTC

KML-fil  |  Interaktivt kart

Kartet viser peilingene for meteoren. De lysere linjene viser retningene fra observasjonsstedene for meteorens tilsynekomst, og de mørkere linjene viser hvor den sist kunne sees. Den blå pila viser meteorens synlige ferd.

static map
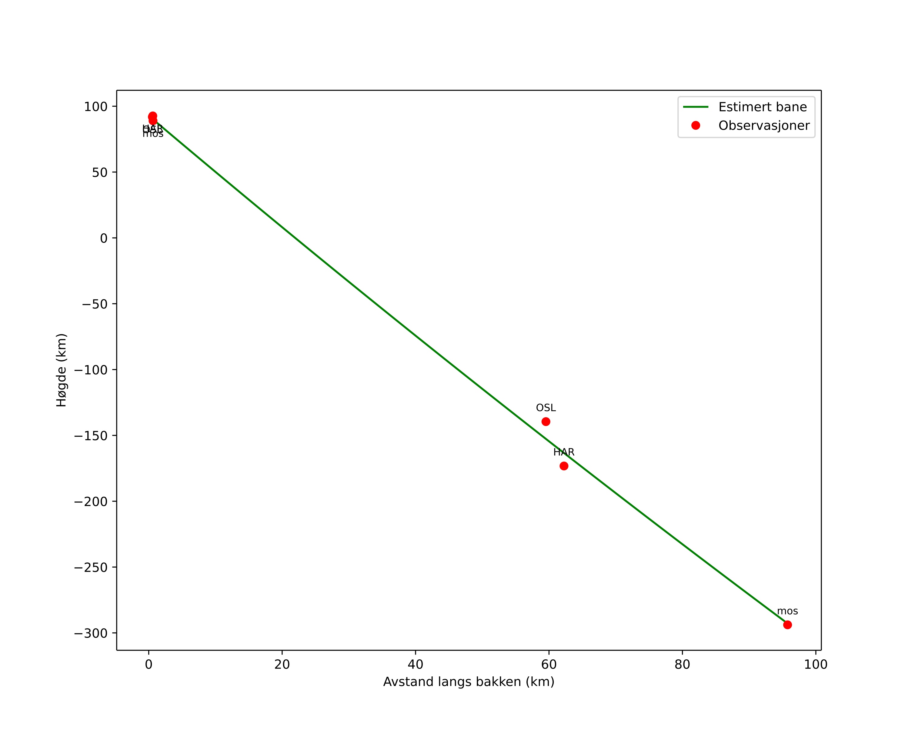
height profile
Meteorens atmosfæriske bane:
Starthøgde: 92,7 km
Slutthøgde: -293,5 km
Startposisjon: 59,410N 8,775E
Sluttposisjon: 58,608N 9,392E
Retning: 158,2°
Fallvinkel: 76,0°
Inngangshastighet: 37,2 km/s
Radiantens rektascensjon: 15:20 (230,2°)
Radiantens deklinasjon: 71,8°
Meteorsverm: sporadisk
Meteoroidens baneelement:
Perihelavstand: 1,006 AU
Eksentrisitet: 2,017
Inklinasjon: 41,9°
Knutelengde: 38,4°
Perihelargument: 182,8°
Midlere anomali: -1,6°
Epoke: 2026 APR 29 01:30:48
orbit plot

Ikke-interaktivt plott | Interaktivt plott

position vs time
speed and acceleration

Harestua (HAR) cam7


preview
Videoer
• Original
Bilder
• Gnomonisk
• Original
Tekstfiler
• Deteksjon
• Observasjon
• Koordinater
• Logg
Lysstyrke

Moss (mos) cam5


preview
Videoer
• Original
Bilder
• Gnomonisk
• Original
Tekstfiler
• Deteksjon
• Observasjon
• Koordinater
• Logg
Lysstyrke

Voksenlia (OSL) cam3


preview
Videoer
• Original
Bilder
• Gnomonisk
• Original
Tekstfiler
• Deteksjon
• Observasjon
• Koordinater
• Logg
Lysstyrke