🇳🇴 🇬🇧 🇩🇪 🇨🇿

Meteor, poloha: Gol 2015-05-12 22:32:31 UTC

Mapa zobrazuje dráhy meteoru. Světlejší čáry ukazují směry od pozorovacích stanic při objevení se meteoru a tmavší čáry, kde byl naposledy viděn. Modrá šipka značí viditelnou dráhu meteoru.

map

NeinteraktivnĂ­ mapa | Soubor KML

height profile
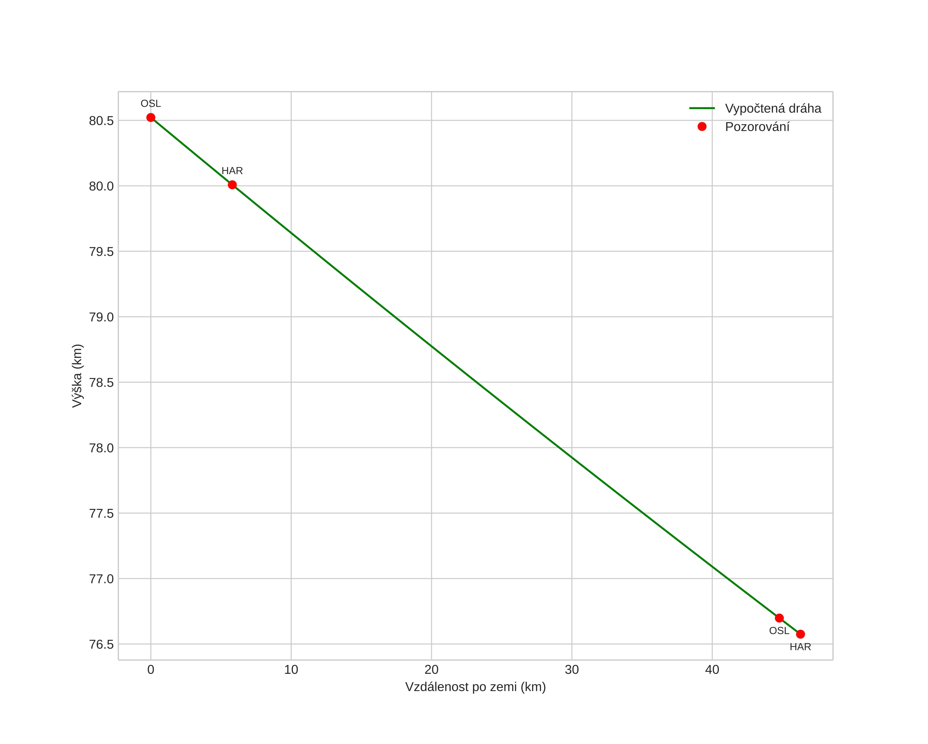
Atmosférická dráha meteoru:
Počáteční výška: 80,5 km
Konečná výška: 76,6 km
Počáteční poloha: 60,467N 8,841E
Konečná poloha: 60,883N 8,852E
Směr: 0,7°
Sklon: 4,8°
VstupnĂ­ rychlost: 18,8 km/s
Rektascenze radiantu: 14:21 (215,3°)
Deklinace radiantu: -35,9°
MeteorickĂ˝ roj: sporadickĂ˝
Elementy dráhy meteoroidu:
Vzdálenost v periheliu: 0,760 AU
Excentricita: 0,509
Sklon dráhy: 9,7°
Délka vzestupného uzlu: 231,7°
Argument perihelia: 74,6°
Střední anomálie: 334,3°
Epocha: 2015 MAY 12 22:32:31
orbit plot

NeinteraktivnĂ­ graf

position vs time
speed and acceleration

Solobservatoriet (HAR) cam1

fireball
gnomonic
Videa
• Gnomonická
• Gnomonická se souřadnicemi
• Původní
• Původní se souřadnicemi
Obrázky
• Gnomonická
• Gnomonická se souřadnicemi
• Původní
• Původní se souřadnicemi
• Původní s maskou
Textové soubory
• Detekce
• Pozorování

Voksenlia (OSL) cam2

fireball
gnomonic
Videa
• Gnomonická
• Gnomonická se souřadnicemi
• Původní
• Původní se souřadnicemi
Obrázky
• Gnomonická
• Gnomonická se souřadnicemi
• Původní
• Původní se souřadnicemi
• Původní s maskou
Textové soubory
• Detekce
• Pozorování
• Souřadnice