🇳🇴 🇬🇧 🇩🇪 🇨🇿 🇫🇮

Meteor over Gol 2015-05-12 22:32:31 UTC

KML file  |  Interactive map

The map shows the bearings for the meteor. The lighter lines show the directions from the observation sites at the meteor's appearance, and the darker lines show where it was last seen. The blue arrow indicates the visible path of the meteor.

static map
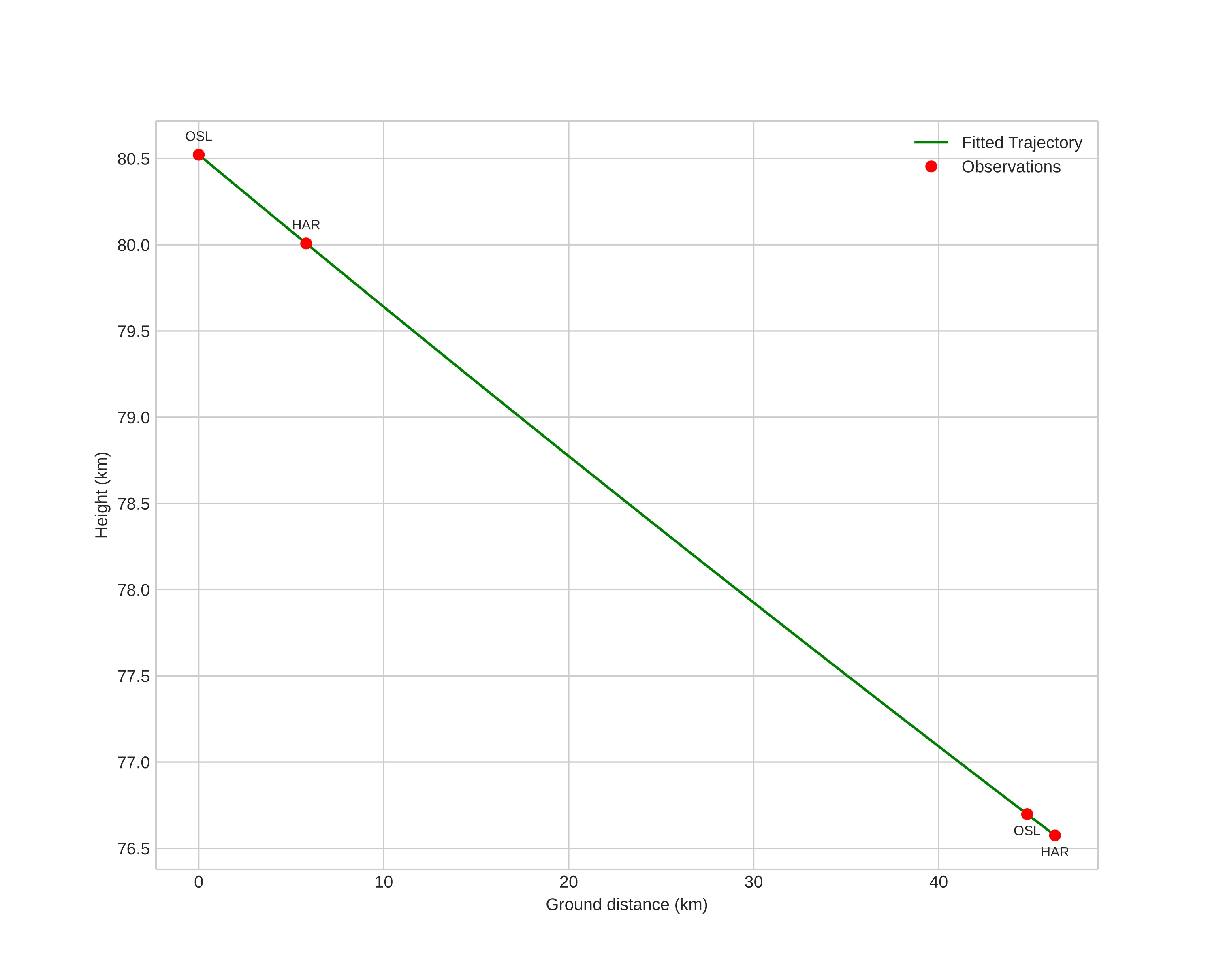
height profile
Meteor's Atmospheric Trajectory:
Start height: 80.5 km
End height: 76.6 km
Start position: 60.467N 8.841E
End position: 60.883N 8.852E
Direction: 0.7°
Inclination angle: 4.8°
Entry speed: 18.8 km/s
Radiant R.A.: 14:21 (215.3°)
Radiant Dec.: -35.9°
Meteor Shower: sporadic
Meteoroid's Orbital Elements:
Perihelion distance: 0.760 AU
Eccentricity: 0.509
Inclination: 9.7°
Long. of Asc. Node: 231.7°
Argument of Perihelion: 74.6°
Mean Anomaly: 334.3°
Epoch: 2015 MAY 12 22:32:31
orbit plot

Non-interactive plot | Interactive plot

position vs time
speed and acceleration

Solobservatoriet (HAR) cam1

fireball
gnomonic
Videos
• Gnomonic
• Gnomonic with coordinates
• Original
• Original with coordinates
Images
• Gnomonic
• Gnomonic with coordinates
• Original
• Original with coordinates
• Original with mask
Text Files
• Detection
• Observation
• Log
Brightness

Voksenlia (OSL) cam2

fireball
gnomonic
Videos
• Gnomonic
• Gnomonic with coordinates
• Original
• Original with coordinates
Images
• Gnomonic
• Gnomonic with coordinates
• Original
• Original with coordinates
• Original with mask
Text Files
• Detection
• Observation
• Coordinates
• Log
Brightness