🇳🇴 🇬🇧 🇩🇪 🇨🇿 🇫🇮

Meteor über Gol 2015-05-12 22:32:31 UTC

KML-Datei  |  Interaktive Karte

Die Karte zeigt die Peilungen für den Meteor. Die helleren Linien zeigen die Richtungen von den Beobachtungsorten beim Erscheinen des Meteors, und die dunkleren Linien, wo er zuletzt gesehen wurde. Der blaue Pfeil zeigt die sichtbare Bahn des Meteors.

static map
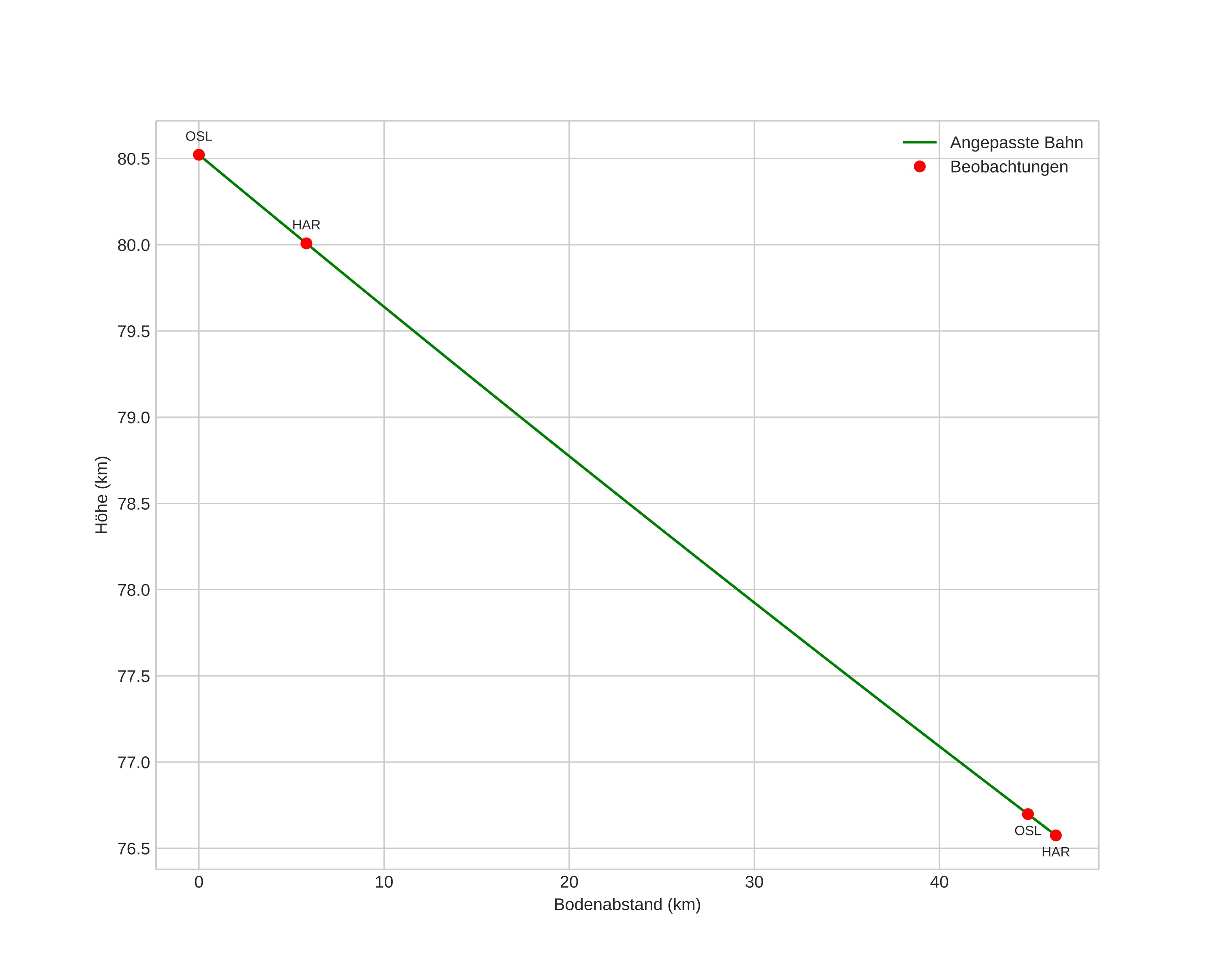
height profile
Atmosphärische Bahn des Meteors:
Anfangshöhe: 80,5 km
Endhöhe: 76,6 km
Startposition: 60,467N 8,841E
Endposition: 60,883N 8,852E
Richtung: 0,7°
Neigungswinkel: 4,8°
Eintrittsgeschwindigkeit: 18,8 km/s
Rektaszension des Radianten: 14:21 (215,3°)
Deklination des Radianten: -35,9°
Meteorstrom: sporadisch
Bahnelemente des Meteoroiden:
Periheldistanz: 0,760 AU
Exzentrizität: 0,509
Inklination: 9,7°
Länge des aufsteigenden Knotens: 231,7°
Argument des Perihels: 74,6°
Mittlere Anomalie: 334,3°
Epoche: 2015 MAY 12 22:32:31
orbit plot

Nicht-interaktives Diagramm | Interaktives Diagramm

position vs time
speed and acceleration

Solobservatoriet (HAR) cam1

fireball
gnomonic
Videos
• Gnomonisch
• Gnomonisch mit Koordinaten
• Original
• Original mit Koordinaten
Bilder
• Gnomonisch
• Gnomonisch mit Koordinaten
• Original
• Original mit Koordinaten
• Original mit Maske
Textdateien
• Erkennung
• Beobachtung
• Protokoll
Helligkeit

Voksenlia (OSL) cam2

fireball
gnomonic
Videos
• Gnomonisch
• Gnomonisch mit Koordinaten
• Original
• Original mit Koordinaten
Bilder
• Gnomonisch
• Gnomonisch mit Koordinaten
• Original
• Original mit Koordinaten
• Original mit Maske
Textdateien
• Erkennung
• Beobachtung
• Koordinaten
• Protokoll
Helligkeit