🇳🇴 🇬🇧 🇩🇪 🇨🇿 🇫🇮

Meteor, poloha: Nordfjordeid 2015-09-09 03:00:51 UTC

Soubor KML  |  InteraktivnĂ­ mapa

Mapa zobrazuje dráhy meteoru. Světlejší čáry ukazují směry od pozorovacích stanic při objevení se meteoru a tmavší čáry, kde byl naposledy viděn. Modrá šipka značí viditelnou dráhu meteoru.

static map
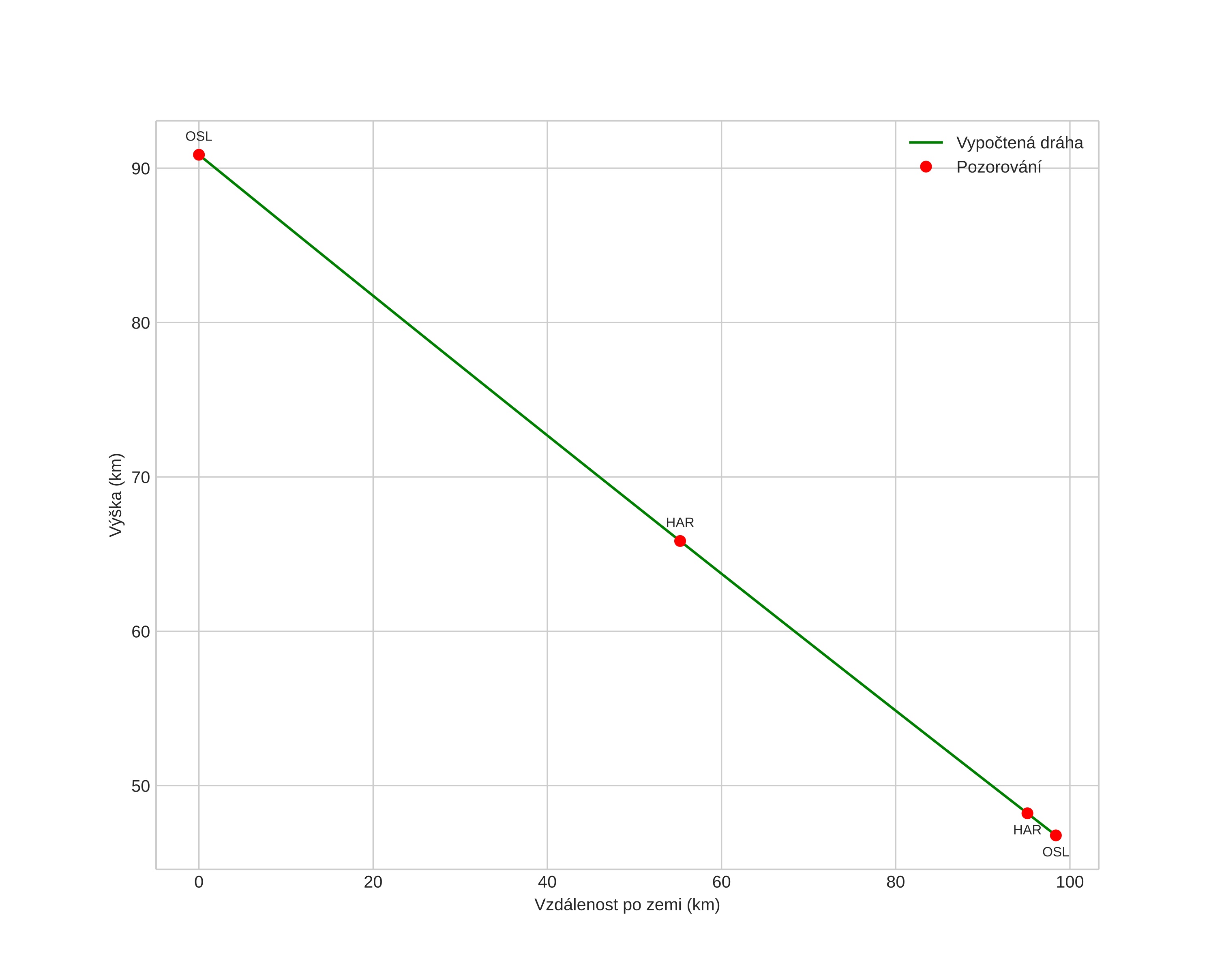
height profile
Atmosférická dráha meteoru:
Počáteční výška: 90,9 km
Konečná výška: 46,8 km
Počáteční poloha: 61,580N 4,186E
Konečná poloha: 61,915N 5,917E
Směr: 67,0°
Sklon: 24,1°
VstupnĂ­ rychlost: 19,5 km/s
Rektascenze radiantu: 22:18 (334,7°)
Deklinace radiantu: 4,4°
MeteorickĂ˝ roj: sporadickĂ˝
Elementy dráhy meteoroidu:
Vzdálenost v periheliu: 0,727 AU
Excentricita: 0,604
Sklon dráhy: 7,0°
Délka vzestupného uzlu: 165,9°
Argument perihelia: 254,8°
Střední anomálie: 341,4°
Epocha: 2015 SEP 09 03:00:51
orbit plot

NeinteraktivnĂ­ graf | InteraktivnĂ­ graf

position vs time
speed and acceleration