🇳🇴 🇬🇧 🇩🇪 🇨🇿 🇫🇮

Meteor Nordfjordeidin yllä 2015-09-09 03:00:51 UTC

KML-tiedosto  |  Interaktiivinen kartta

Kartta näyttää meteorin suuntahavainnot. Vaaleammat viivat näyttävät suunnat havaintoasemilta meteorin ilmestyessä, ja tummemmat viivat näyttävät, missä se viimeksi nähtiin. Sininen nuoli näyttää meteorin näkyvän lennon.

static map
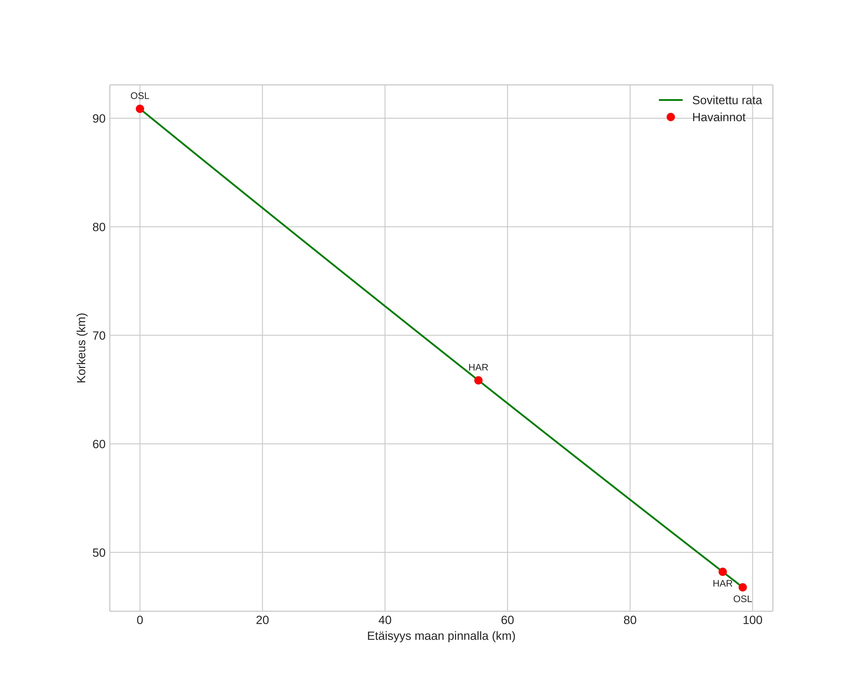
height profile
Meteorin ilmakehärata:
Alkukorkeus: 90,9 km
Loppukorkeus: 46,8 km
Alkupiste: 61,580N 4,186E
Loppupiste: 61,915N 5,917E
Suunta: 67,0°
Kallistuskulma: 24,1°
Tulonopeus: 19,5 km/s
Radiantin R,A,: 22:18 (334,7°)
Radiantin Dekl,: 4,4°
Meteoriparvi: Sporadinen
Meteoroidin rataelementit:
Perihelietäisyys: 0,727 AU
Eksentrisyys: 0,604
Inklinaatio: 7,0°
Nousevan solmun pituus: 165,9°
Perihelin argumentti: 254,8°
Keskianomalia: 341,4°
Epookki: 2015 SEP 09 03:00:51
orbit plot

Ei-interaktiivinen kuvaaja | Interaktiivinen kuvaaja

position vs time
speed and acceleration