🇳🇴 🇬🇧 🇩🇪 🇨🇿 🇫🇮

Meteor, poloha: Eidfjord 2015-09-09 21:53:20 UTC

Solobservatoriet – 1
Solobservatoriet – 1
Voksenlia – 2
Voksenlia – 2

Soubor KML  | Interaktivní mapa

map

Mapa zobrazuje dráhy meteoru. Světlejší čáry ukazují směry od pozorovacích stanic při objevení se meteoru a tmavší čáry, kde byl naposledy viděn. Modrá šipka značí viditelnou dráhu meteoru.

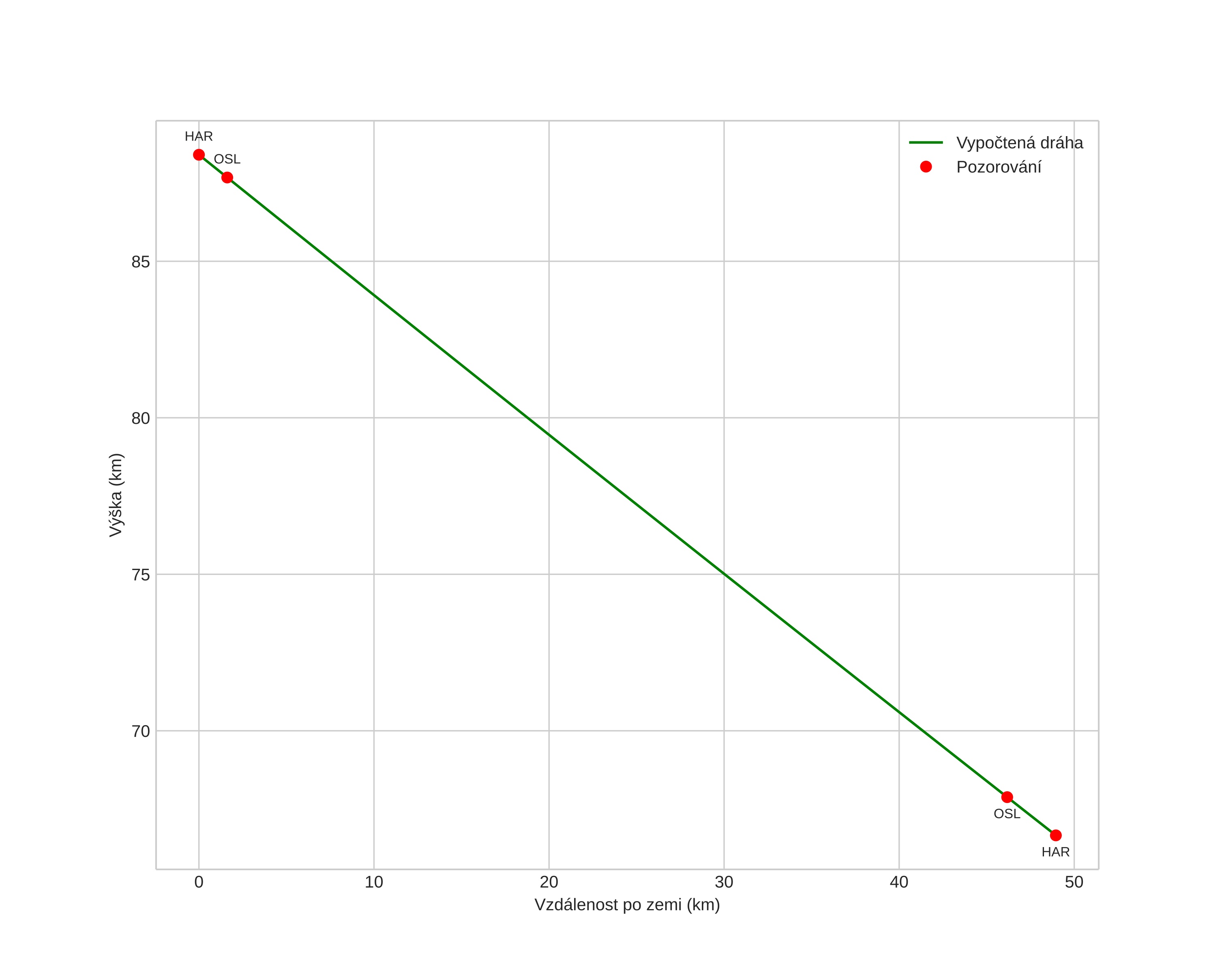
height profile
Atmosférická dráha meteoru:
Počáteční výška: 88,4 km
Konečná výška: 66,7 km
Počáteční poloha: 59,851N 7,858E
Konečná poloha: 60,134N 7,183E
Směr: 310,3°
Sklon: 23,9°
Vstupní rychlost: 35,0 km/s
Rektascenze radiantu: 00:37 (9,3°)
Deklinace radiantu: 1,1°
Meteorický roj: sporadický
Elementy dráhy meteoroidu:
Vzdálenost v periheliu: 0,176 AU
Excentricita: 0,898
Sklon dráhy: 5,1°
Délka vzestupného uzlu: 346,7°
Argument perihelia: 138,0°
Střední anomálie: 343,4°
Epocha: 2015 SEP 09 21:53:20
orbit

Neinteraktivní graf | Interaktivní graf

position vs time
speed & acceleration