🇳🇴 🇬🇧 🇩🇪 🇨🇿 🇫🇮

Meteor Eidfjordin yllä 2015-09-09 21:53:20 UTC

Solobservatoriet – 1
Solobservatoriet – 1
Voksenlia – 2
Voksenlia – 2

KML-tiedosto  | Interaktiivinen kartta

map

Kartta näyttää meteorin suuntahavainnot. Vaaleammat viivat näyttävät suunnat havaintoasemilta meteorin ilmestyessä, ja tummemmat viivat näyttävät, missä se viimeksi nähtiin. Sininen nuoli näyttää meteorin näkyvän lennon.

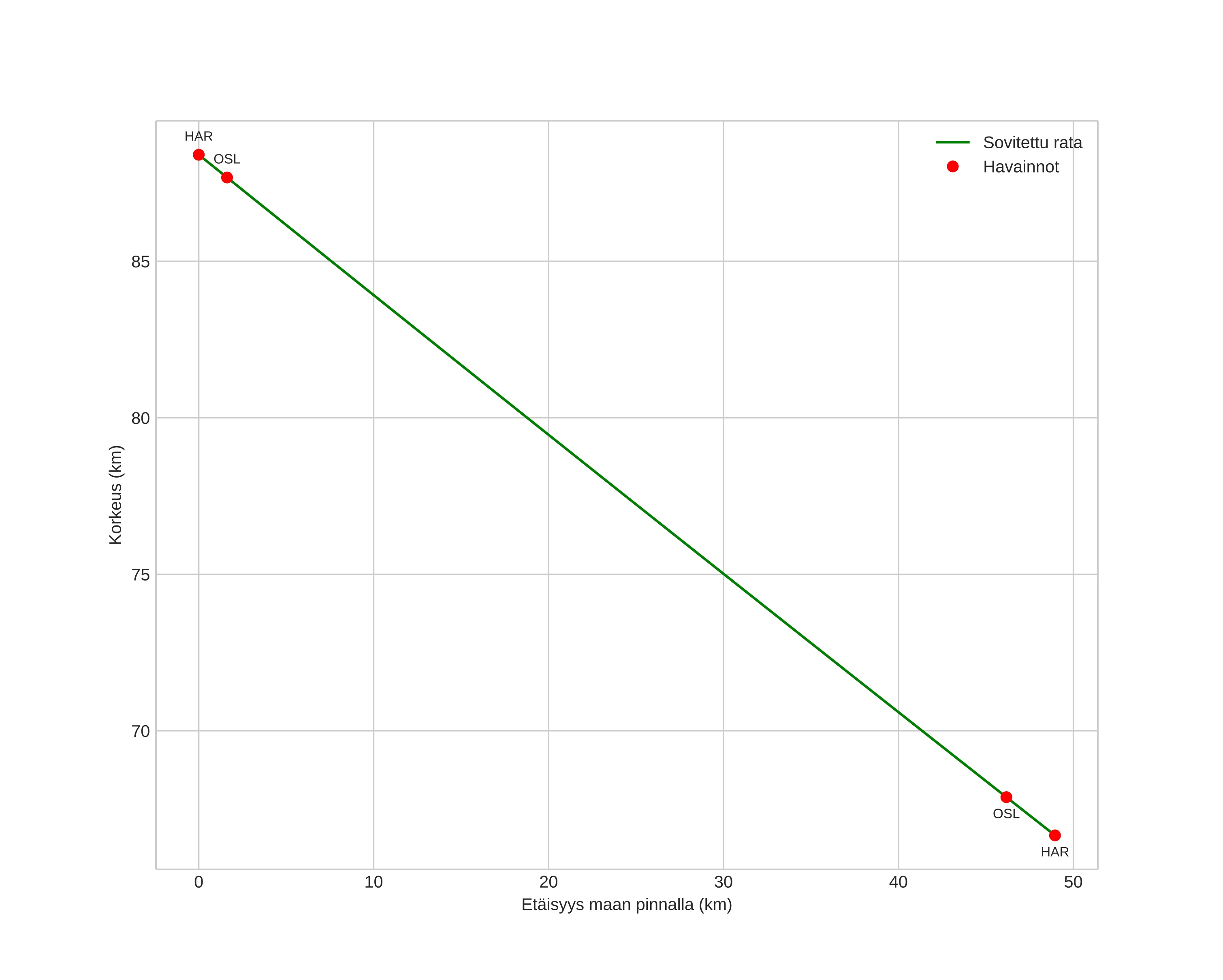
height profile
Meteorin ilmakehärata:
Alkukorkeus: 88,4 km
Loppukorkeus: 66,7 km
Alkupiste: 59,851N 7,858E
Loppupiste: 60,134N 7,183E
Suunta: 310,3°
Kallistuskulma: 23,9°
Tulonopeus: 35,0 km/s
Radiantin R,A,: 00:37 (9,3°)
Radiantin Dekl,: 1,1°
Meteoriparvi: Sporadinen
Meteoroidin rataelementit:
Perihelietäisyys: 0,176 AU
Eksentrisyys: 0,898
Inklinaatio: 5,1°
Nousevan solmun pituus: 346,7°
Perihelin argumentti: 138,0°
Keskianomalia: 343,4°
Epookki: 2015 SEP 09 21:53:20
orbit

Ei-interaktiivinen kuvaaja | Interaktiivinen kuvaaja

position vs time
speed & acceleration