🇳🇴 🇬🇧 🇩🇪 🇨🇿 🇫🇮

Meteor über Eidfjord 2015-09-09 21:53:20 UTC

Solobservatoriet – 1
Solobservatoriet – 1
Voksenlia – 2
Voksenlia – 2

KML-Datei  | Interaktive Karte

map

Die Karte zeigt die Peilungen für den Meteor. Die helleren Linien zeigen die Richtungen von den Beobachtungsorten beim Erscheinen des Meteors, und die dunkleren Linien, wo er zuletzt gesehen wurde. Der blaue Pfeil zeigt die sichtbare Bahn des Meteors.

height profile
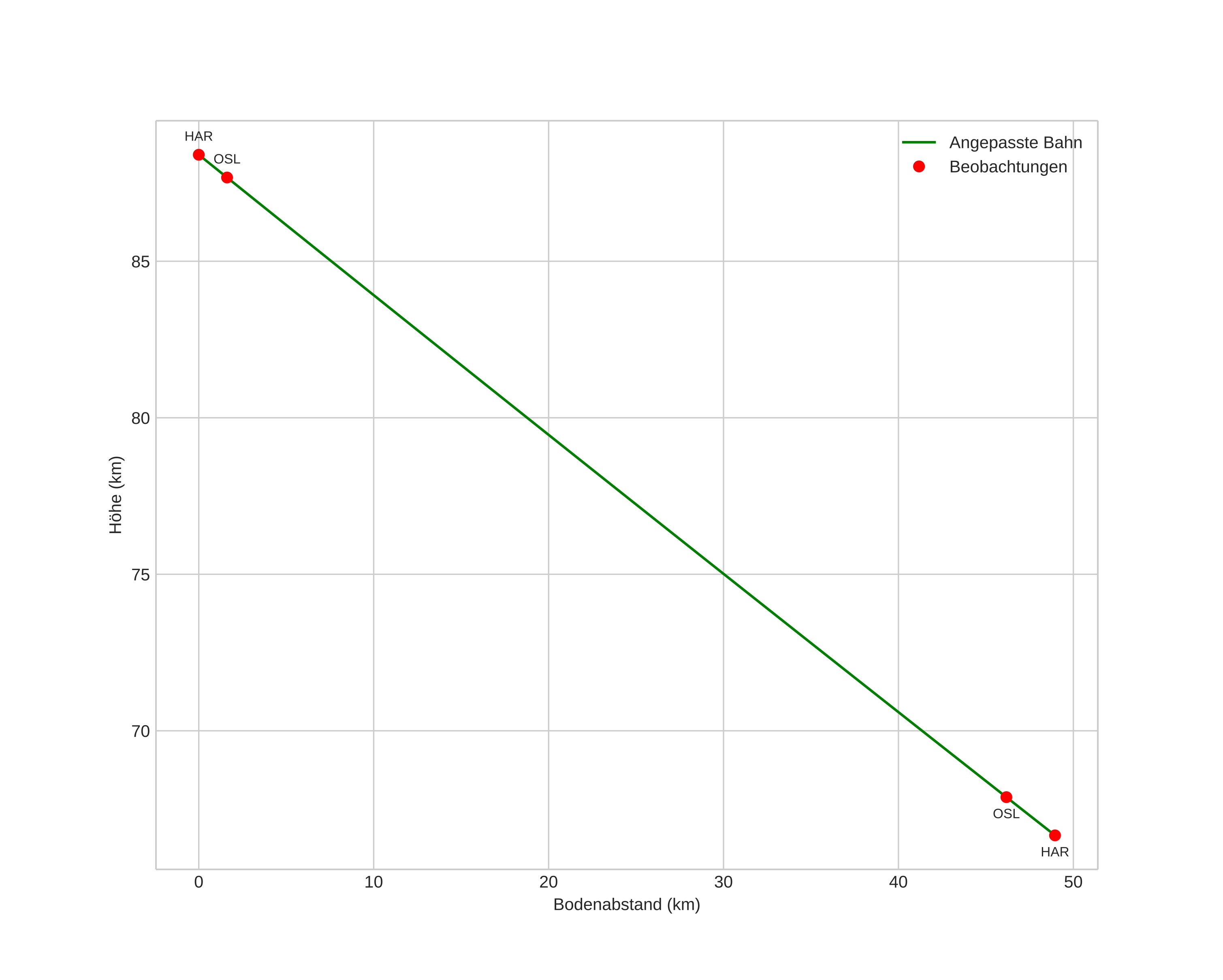
Atmosphärische Bahn des Meteors:
Anfangshöhe: 88,4 km
Endhöhe: 66,7 km
Startposition: 59,851N 7,858E
Endposition: 60,134N 7,183E
Richtung: 310,3°
Neigungswinkel: 23,9°
Eintrittsgeschwindigkeit: 35,0 km/s
Rektaszension des Radianten: 00:37 (9,3°)
Deklination des Radianten: 1,1°
Meteorstrom: sporadisch
Bahnelemente des Meteoroiden:
Periheldistanz: 0,176 AU
Exzentrizität: 0,898
Inklination: 5,1°
Länge des aufsteigenden Knotens: 346,7°
Argument des Perihels: 138,0°
Mittlere Anomalie: 343,4°
Epoche: 2015 SEP 09 21:53:20
orbit

Nicht-interaktives Diagramm | Interaktives Diagramm

position vs time
speed & acceleration