🇳🇴 🇬🇧 🇩🇪 🇨🇿 🇫🇮

Meteor, poloha: Flisa 2015-10-15 02:19:32 UTC

Soubor KML  |  InteraktivnĂ­ mapa

Mapa zobrazuje dráhy meteoru. Světlejší čáry ukazují směry od pozorovacích stanic při objevení se meteoru a tmavší čáry, kde byl naposledy viděn. Modrá šipka značí viditelnou dráhu meteoru.

static map
height profile
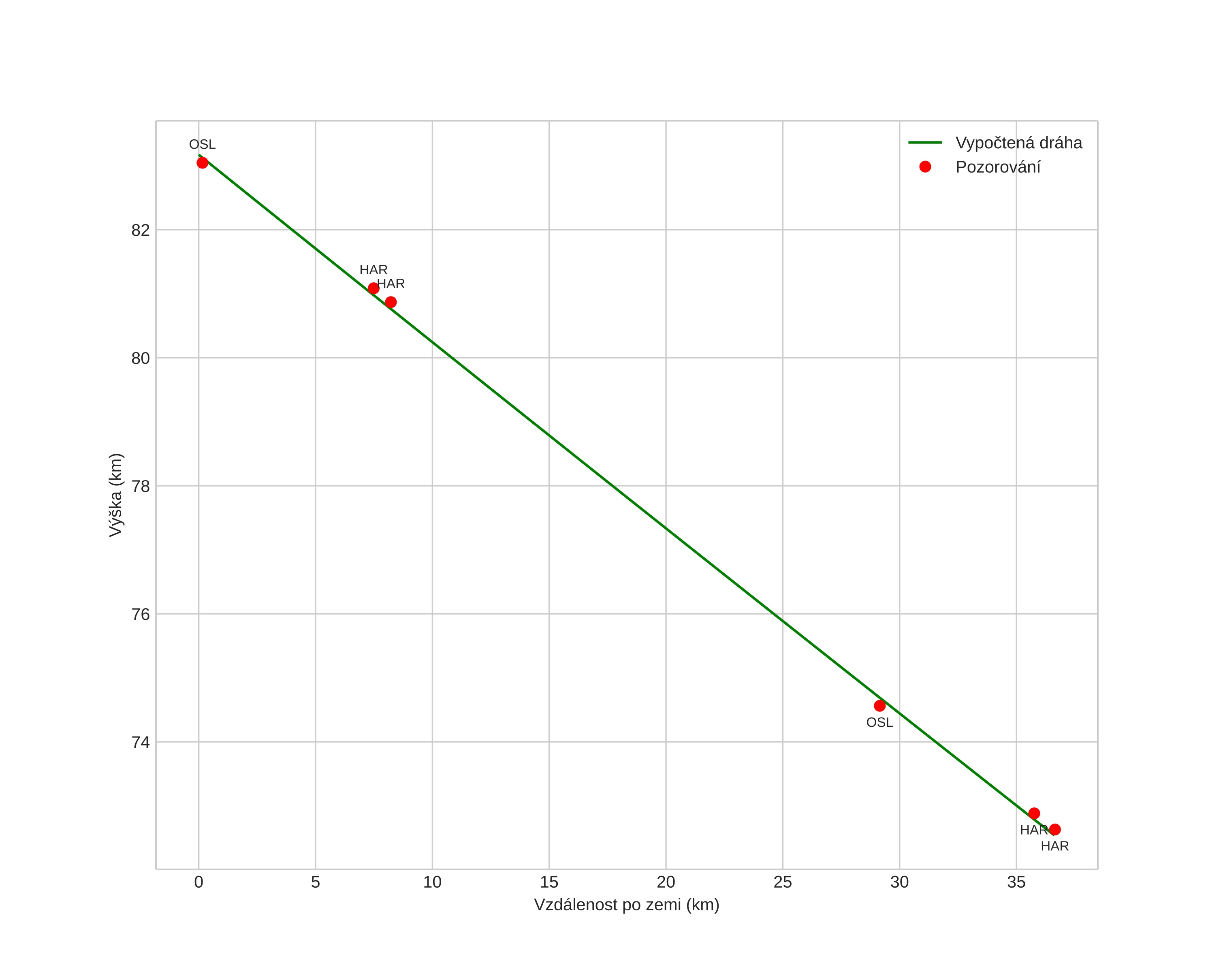
Atmosférická dráha meteoru:
Počáteční výška: 83,2 km
Konečná výška: 72,5 km
Počáteční poloha: 60,279N 11,970E
Konečná poloha: 60,608N 11,966E
Směr: 359,7°
Sklon: 16,3°
VstupnĂ­ rychlost: 53,6 km/s
Rektascenze radiantu: 04:39 (69,9°)
Deklinace radiantu: -14,4°
MeteorickĂ˝ roj: sporadickĂ˝
Elementy dráhy meteoroidu:
Vzdálenost v periheliu: 0,519 AU
Excentricita: 1,071
Sklon dráhy: 89,6°
Délka vzestupného uzlu: 21,2°
Argument perihelia: 85,9°
Střední anomálie: -1,8°
Epocha: 2015 OCT 15 02:19:32
orbit plot

NeinteraktivnĂ­ graf | InteraktivnĂ­ graf

position vs time
speed and acceleration