🇳🇴 🇬🇧 🇩🇪 🇨🇿 🇫🇮

Meteor Flisan yllä 2015-10-15 02:19:32 UTC

KML-tiedosto  |  Interaktiivinen kartta

Kartta näyttää meteorin suuntahavainnot. Vaaleammat viivat näyttävät suunnat havaintoasemilta meteorin ilmestyessä, ja tummemmat viivat näyttävät, missä se viimeksi nähtiin. Sininen nuoli näyttää meteorin näkyvän lennon.

static map
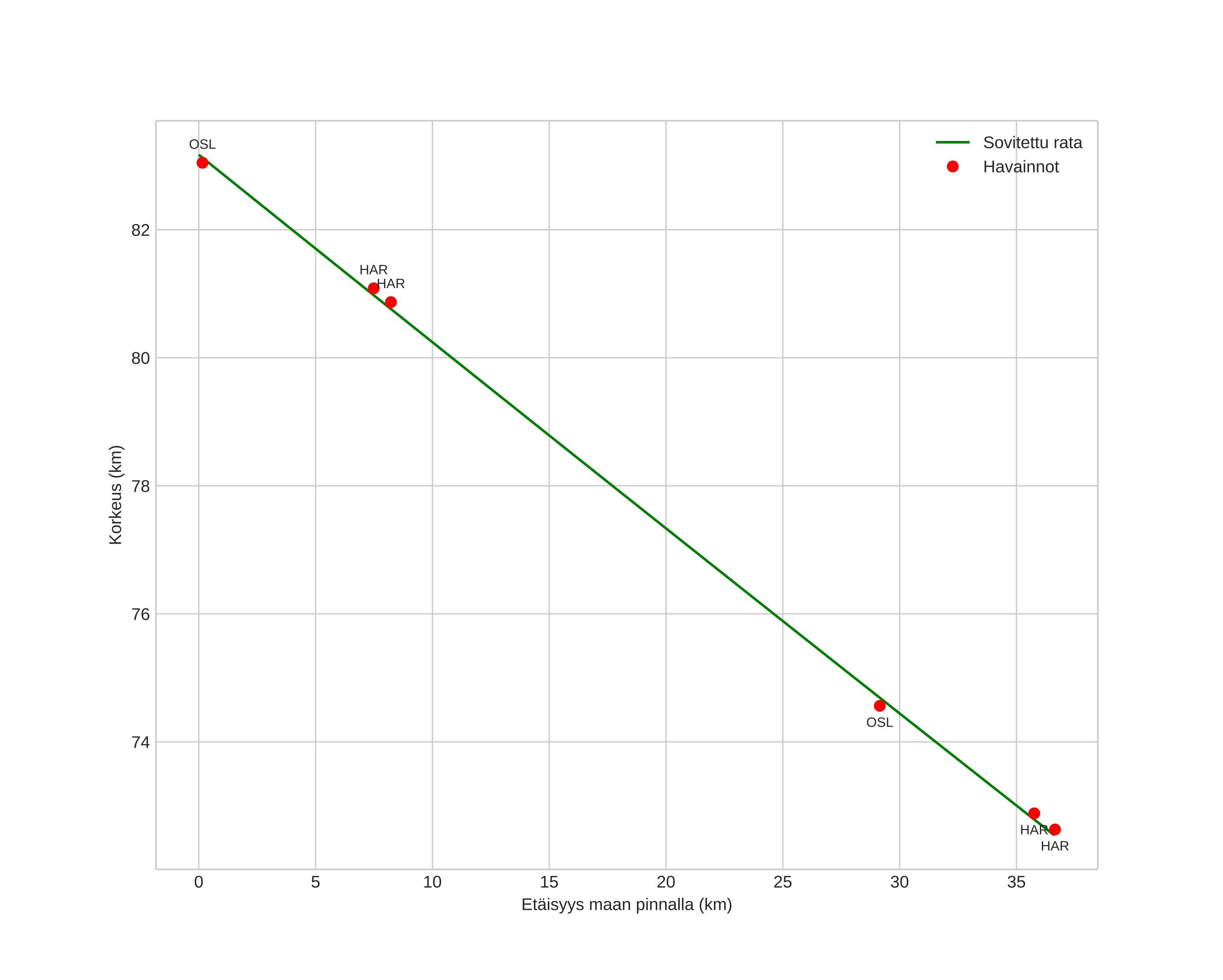
height profile
Meteorin ilmakehärata:
Alkukorkeus: 83,2 km
Loppukorkeus: 72,5 km
Alkupiste: 60,279N 11,970E
Loppupiste: 60,608N 11,966E
Suunta: 359,7°
Kallistuskulma: 16,3°
Tulonopeus: 53,6 km/s
Radiantin R,A,: 04:39 (69,9°)
Radiantin Dekl,: -14,4°
Meteoriparvi: Sporadinen
Meteoroidin rataelementit:
Perihelietäisyys: 0,519 AU
Eksentrisyys: 1,071
Inklinaatio: 89,6°
Nousevan solmun pituus: 21,2°
Perihelin argumentti: 85,9°
Keskianomalia: -1,8°
Epookki: 2015 OCT 15 02:19:32
orbit plot

Ei-interaktiivinen kuvaaja | Interaktiivinen kuvaaja

position vs time
speed and acceleration