🇳🇴 🇬🇧 🇩🇪 🇨🇿 🇫🇮

Meteor, poloha: Farnes 2015-11-02 22:26:10 UTC

Soubor KML  |  InteraktivnĂ­ mapa

Mapa zobrazuje dráhy meteoru. Světlejší čáry ukazují směry od pozorovacích stanic při objevení se meteoru a tmavší čáry, kde byl naposledy viděn. Modrá šipka značí viditelnou dráhu meteoru.

static map
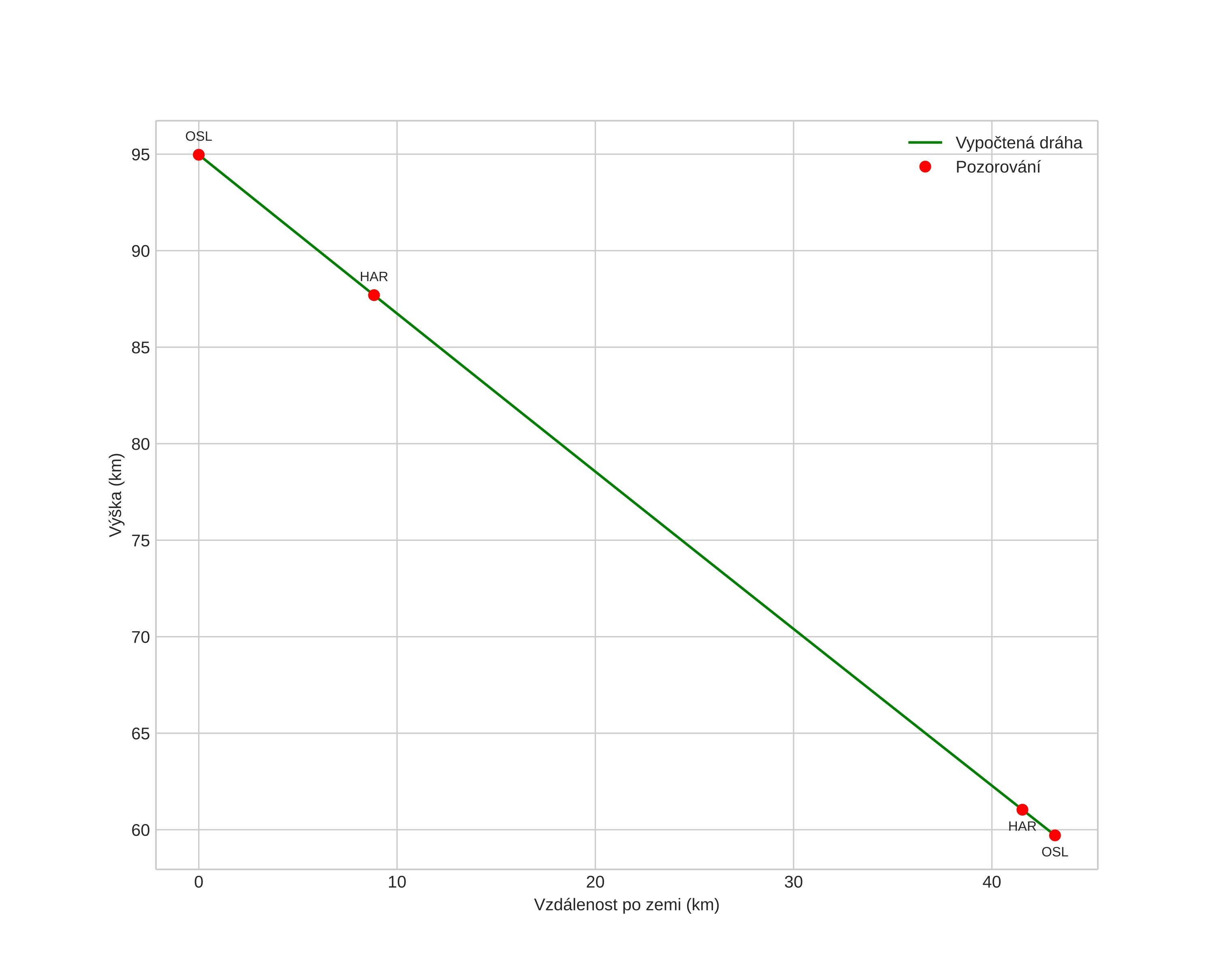
height profile
Atmosférická dráha meteoru:
Počáteční výška: 95,0 km
Konečná výška: 59,7 km
Počáteční poloha: 60,779N 8,532E
Konečná poloha: 61,095N 8,066E
Směr: 324,6°
Sklon: 39,3°
VstupnĂ­ rychlost: 30,5 km/s
Rektascenze radiantu: 03:37 (54,4°)
Deklinace radiantu: 12,2°
MeteorickĂ˝ roj: JiĹľnĂ­ Tauridy
Elementy dráhy meteoroidu:
Vzdálenost v periheliu: 0,322 AU
Excentricita: 0,818
Sklon dráhy: 8,6°
Délka vzestupného uzlu: 40,0°
Argument perihelia: 120,0°
Střední anomálie: 342,0°
Epocha: 2015 NOV 02 22:26:10
orbit plot

NeinteraktivnĂ­ graf | InteraktivnĂ­ graf

position vs time
speed and acceleration