🇳🇴 🇬🇧 🇩🇪 🇨🇿 🇫🇮

Meteor Farnesin yllä 2015-11-02 22:26:10 UTC

KML-tiedosto  |  Interaktiivinen kartta

Kartta näyttää meteorin suuntahavainnot. Vaaleammat viivat näyttävät suunnat havaintoasemilta meteorin ilmestyessä, ja tummemmat viivat näyttävät, missä se viimeksi nähtiin. Sininen nuoli näyttää meteorin näkyvän lennon.

static map
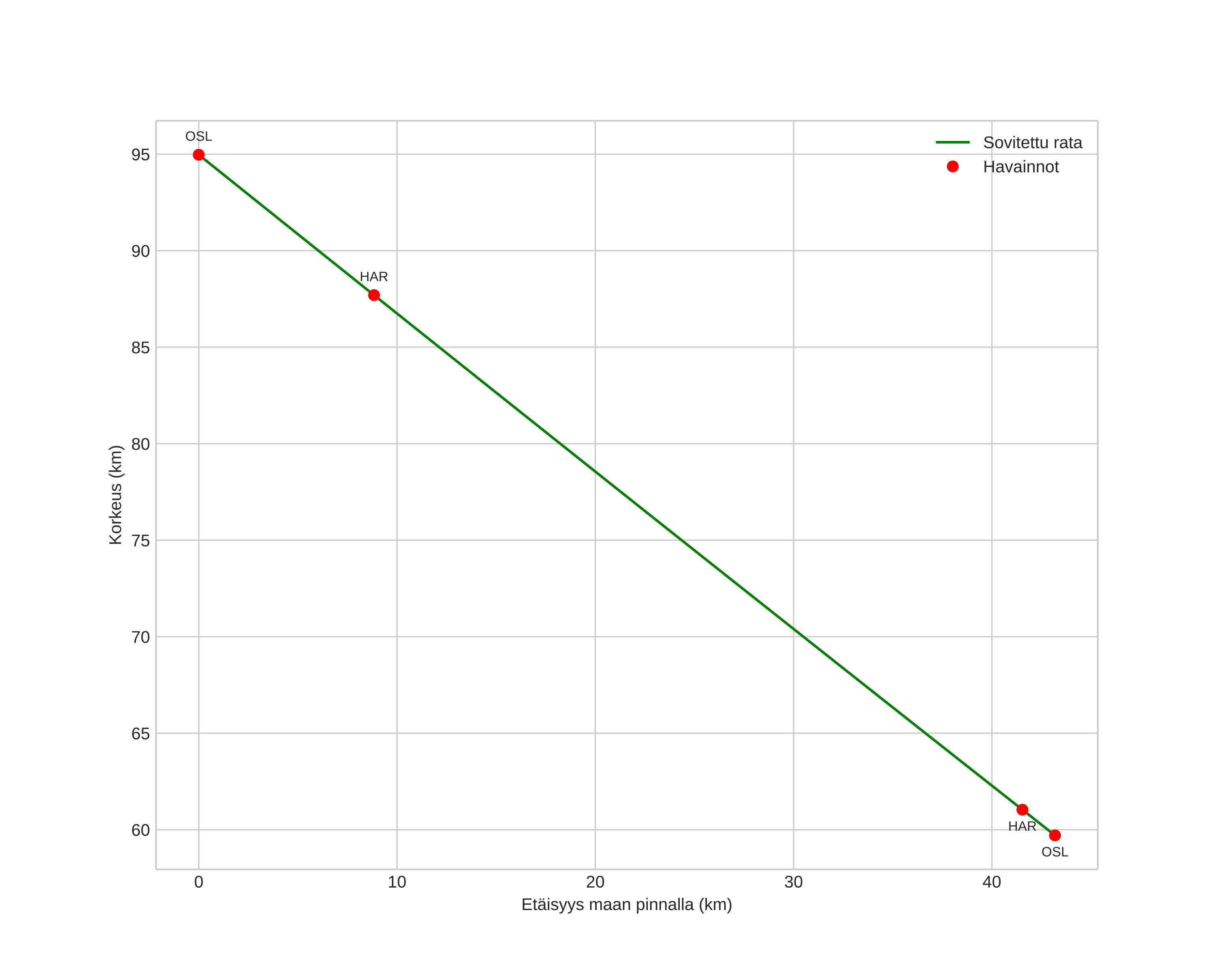
height profile
Meteorin ilmakehärata:
Alkukorkeus: 95,0 km
Loppukorkeus: 59,7 km
Alkupiste: 60,779N 8,532E
Loppupiste: 61,095N 8,066E
Suunta: 324,6°
Kallistuskulma: 39,3°
Tulonopeus: 30,5 km/s
Radiantin R,A,: 03:37 (54,4°)
Radiantin Dekl,: 12,2°
Meteoriparvi: Eteläiset tauridit
Meteoroidin rataelementit:
Perihelietäisyys: 0,322 AU
Eksentrisyys: 0,818
Inklinaatio: 8,6°
Nousevan solmun pituus: 40,0°
Perihelin argumentti: 120,0°
Keskianomalia: 342,0°
Epookki: 2015 NOV 02 22:26:10
orbit plot

Ei-interaktiivinen kuvaaja | Interaktiivinen kuvaaja

position vs time
speed and acceleration