🇳🇴 🇬🇧 🇩🇪 🇨🇿 🇫🇮

Meteor über Farnes 2015-11-02 22:26:10 UTC

KML-Datei  |  Interaktive Karte

Die Karte zeigt die Peilungen für den Meteor. Die helleren Linien zeigen die Richtungen von den Beobachtungsorten beim Erscheinen des Meteors, und die dunkleren Linien, wo er zuletzt gesehen wurde. Der blaue Pfeil zeigt die sichtbare Bahn des Meteors.

static map
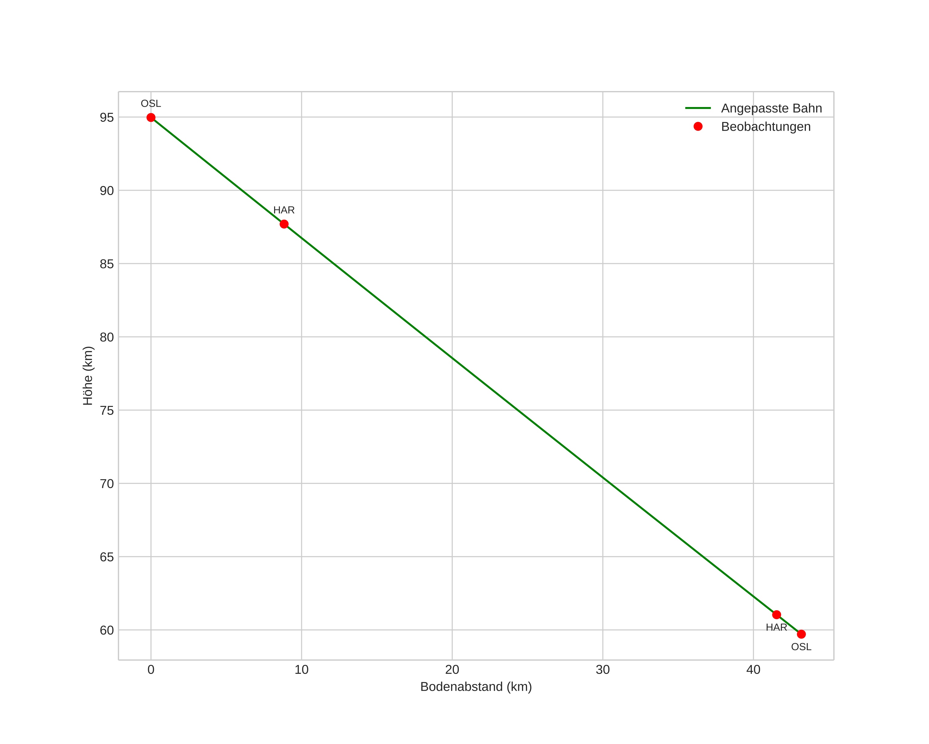
height profile
Atmosphärische Bahn des Meteors:
Anfangshöhe: 95,0 km
Endhöhe: 59,7 km
Startposition: 60,779N 8,532E
Endposition: 61,095N 8,066E
Richtung: 324,6°
Neigungswinkel: 39,3°
Eintrittsgeschwindigkeit: 30,5 km/s
Rektaszension des Radianten: 03:37 (54,4°)
Deklination des Radianten: 12,2°
Meteorstrom: Südliche Tauriden
Bahnelemente des Meteoroiden:
Periheldistanz: 0,322 AU
Exzentrizität: 0,818
Inklination: 8,6°
Länge des aufsteigenden Knotens: 40,0°
Argument des Perihels: 120,0°
Mittlere Anomalie: 342,0°
Epoche: 2015 NOV 02 22:26:10
orbit plot

Nicht-interaktives Diagramm | Interaktives Diagramm

position vs time
speed and acceleration