🇳🇴 🇬🇧 🇩🇪 🇨🇿 🇫🇮

Meteor, poloha: Malung 2015-11-03 02:55:41 UTC

Soubor KML  |  InteraktivnĂ­ mapa

Mapa zobrazuje dráhy meteoru. Světlejší čáry ukazují směry od pozorovacích stanic při objevení se meteoru a tmavší čáry, kde byl naposledy viděn. Modrá šipka značí viditelnou dráhu meteoru.

static map
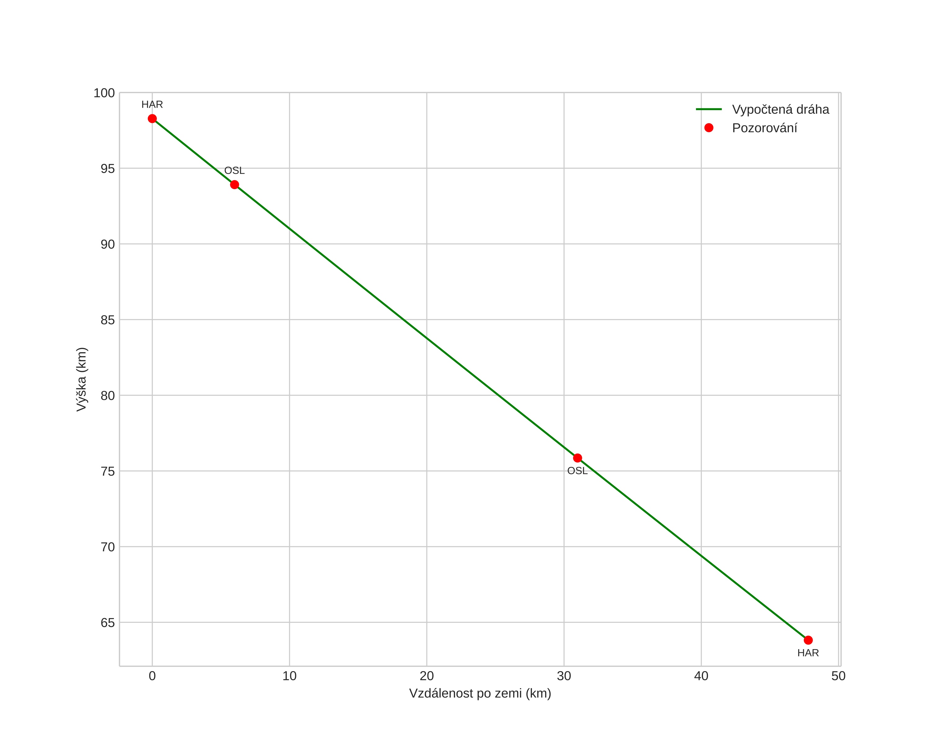
height profile
Atmosférická dráha meteoru:
Počáteční výška: 98,3 km
Konečná výška: 63,8 km
Počáteční poloha: 60,447N 12,950E
Konečná poloha: 60,686N 13,677E
Směr: 55,9°
Sklon: 35,8°
VstupnĂ­ rychlost: 30,4 km/s
Rektascenze radiantu: 03:31 (53,0°)
Deklinace radiantu: 14,5°
MeteorickĂ˝ roj: JiĹľnĂ­ Tauridy
Elementy dráhy meteoroidu:
Vzdálenost v periheliu: 0,327 AU
Excentricita: 0,828
Sklon dráhy: 5,5°
Délka vzestupného uzlu: 40,2°
Argument perihelia: 118,7°
Střední anomálie: 344,0°
Epocha: 2015 NOV 03 02:55:41
orbit plot

NeinteraktivnĂ­ graf | InteraktivnĂ­ graf

position vs time
speed and acceleration