🇳🇴 🇬🇧 🇩🇪 🇨🇿 🇫🇮

Meteor Malungin yllä 2015-11-03 02:55:41 UTC

KML-tiedosto  |  Interaktiivinen kartta

Kartta näyttää meteorin suuntahavainnot. Vaaleammat viivat näyttävät suunnat havaintoasemilta meteorin ilmestyessä, ja tummemmat viivat näyttävät, missä se viimeksi nähtiin. Sininen nuoli näyttää meteorin näkyvän lennon.

static map
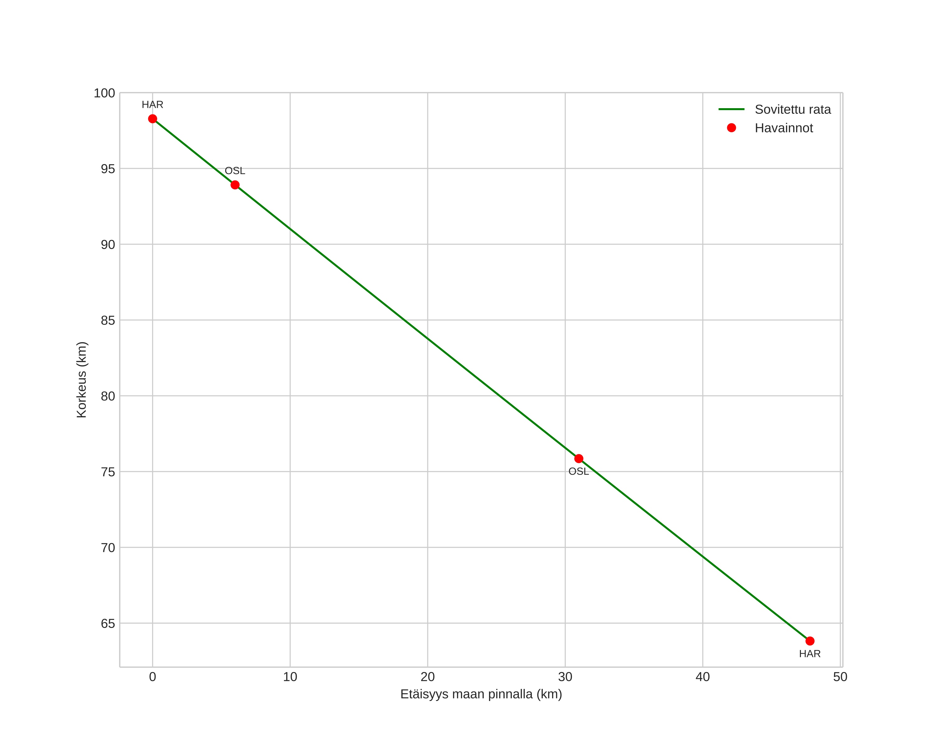
height profile
Meteorin ilmakehärata:
Alkukorkeus: 98,3 km
Loppukorkeus: 63,8 km
Alkupiste: 60,447N 12,950E
Loppupiste: 60,686N 13,677E
Suunta: 55,9°
Kallistuskulma: 35,8°
Tulonopeus: 30,4 km/s
Radiantin R,A,: 03:31 (53,0°)
Radiantin Dekl,: 14,5°
Meteoriparvi: Eteläiset tauridit
Meteoroidin rataelementit:
Perihelietäisyys: 0,327 AU
Eksentrisyys: 0,828
Inklinaatio: 5,5°
Nousevan solmun pituus: 40,2°
Perihelin argumentti: 118,7°
Keskianomalia: 344,0°
Epookki: 2015 NOV 03 02:55:41
orbit plot

Ei-interaktiivinen kuvaaja | Interaktiivinen kuvaaja

position vs time
speed and acceleration