🇳🇴 🇬🇧 🇩🇪 🇨🇿 🇫🇮

Meteor über Malung 2015-11-03 02:55:41 UTC

KML-Datei  |  Interaktive Karte

Die Karte zeigt die Peilungen für den Meteor. Die helleren Linien zeigen die Richtungen von den Beobachtungsorten beim Erscheinen des Meteors, und die dunkleren Linien, wo er zuletzt gesehen wurde. Der blaue Pfeil zeigt die sichtbare Bahn des Meteors.

static map
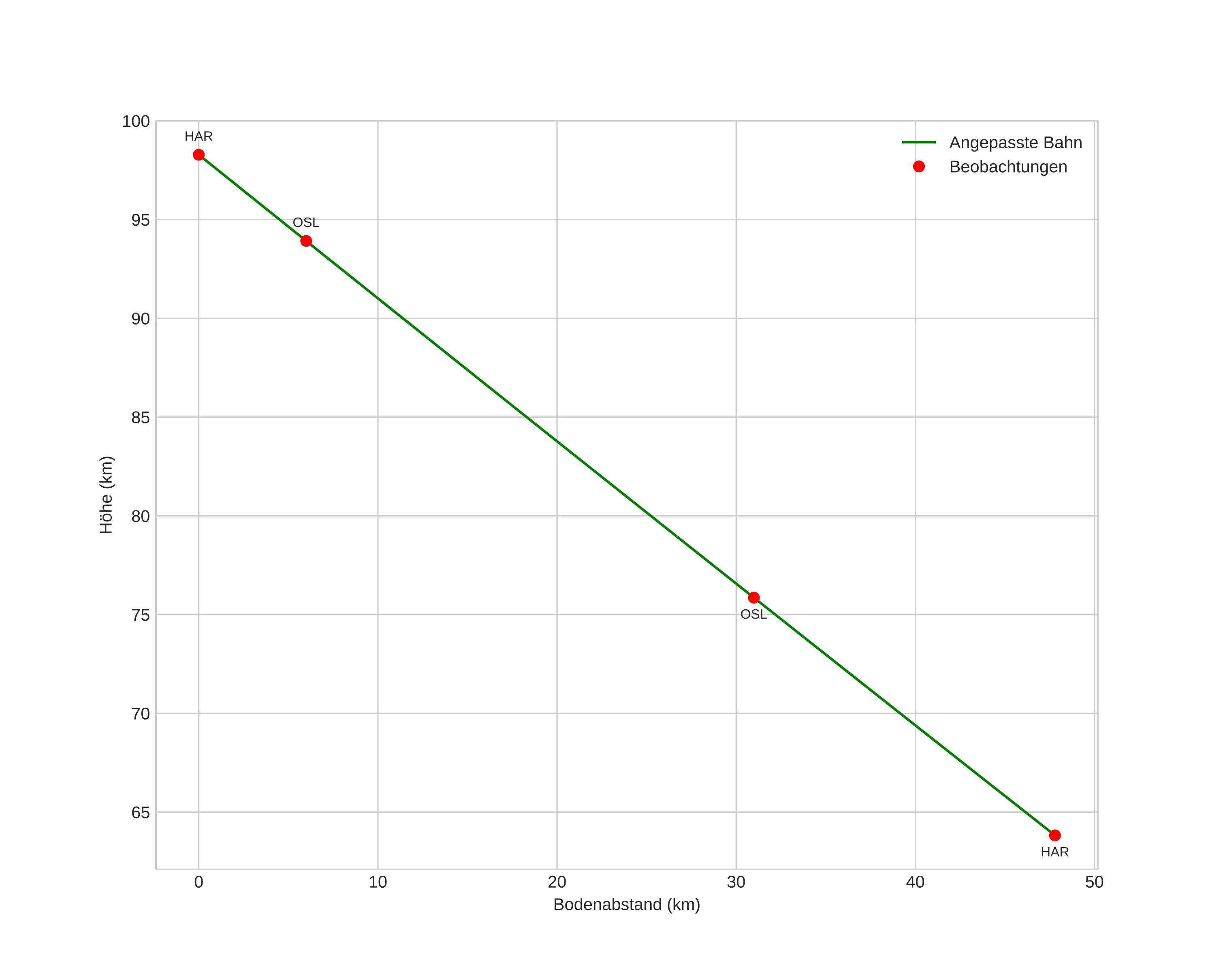
height profile
Atmosphärische Bahn des Meteors:
Anfangshöhe: 98,3 km
Endhöhe: 63,8 km
Startposition: 60,447N 12,950E
Endposition: 60,686N 13,677E
Richtung: 55,9°
Neigungswinkel: 35,8°
Eintrittsgeschwindigkeit: 30,4 km/s
Rektaszension des Radianten: 03:31 (53,0°)
Deklination des Radianten: 14,5°
Meteorstrom: Südliche Tauriden
Bahnelemente des Meteoroiden:
Periheldistanz: 0,327 AU
Exzentrizität: 0,828
Inklination: 5,5°
Länge des aufsteigenden Knotens: 40,2°
Argument des Perihels: 118,7°
Mittlere Anomalie: 344,0°
Epoche: 2015 NOV 03 02:55:41
orbit plot

Nicht-interaktives Diagramm | Interaktives Diagramm

position vs time
speed and acceleration