🇳🇴 🇬🇧 🇩🇪 🇨🇿 🇫🇮

Meteor, poloha: Hanstholm 2015-11-10 18:43:23 UTC

Soubor KML  |  InteraktivnĂ­ mapa

Mapa zobrazuje dráhy meteoru. Světlejší čáry ukazují směry od pozorovacích stanic při objevení se meteoru a tmavší čáry, kde byl naposledy viděn. Modrá šipka značí viditelnou dráhu meteoru.

static map
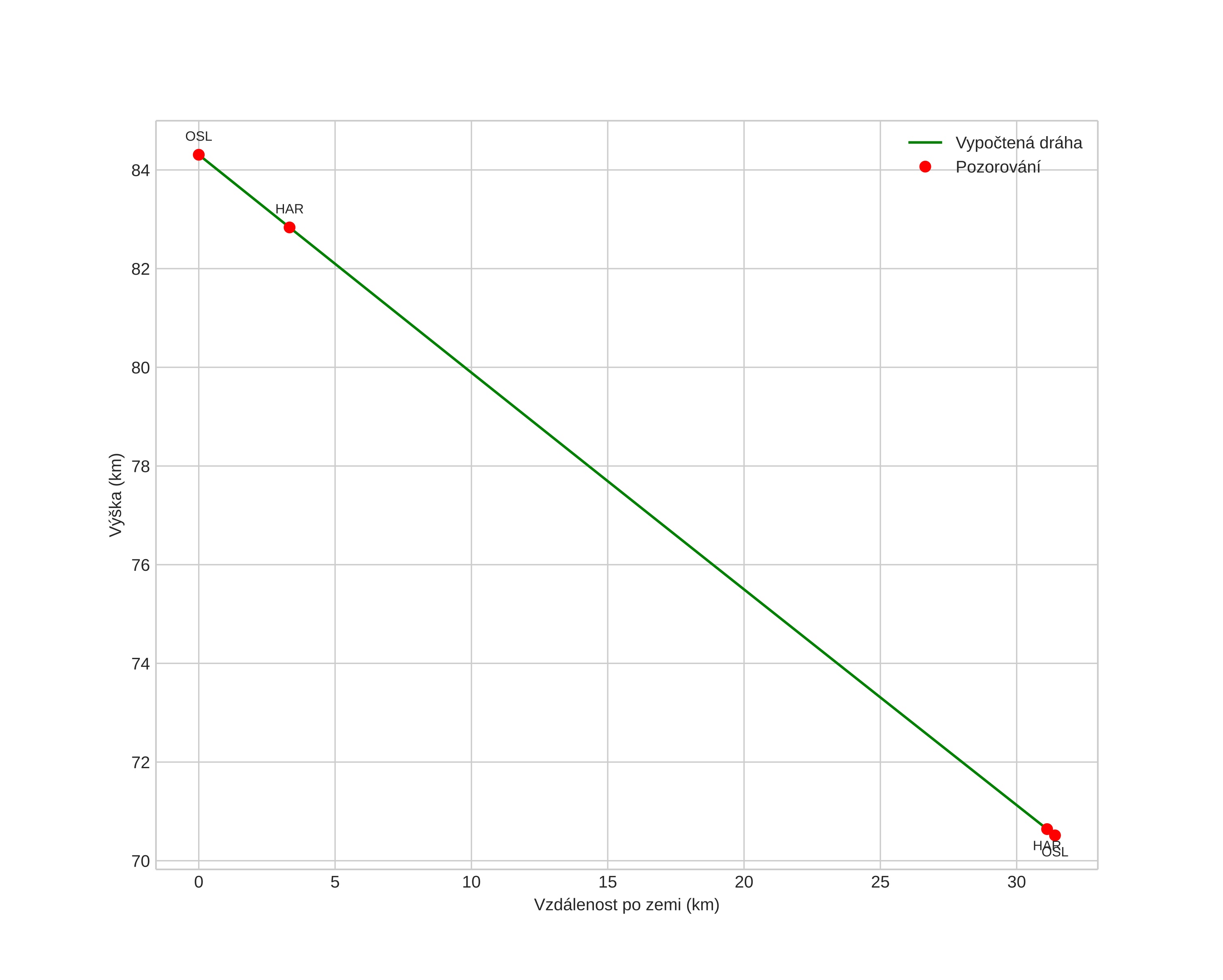
height profile
Atmosférická dráha meteoru:
Počáteční výška: 84,3 km
Konečná výška: 70,5 km
Počáteční poloha: 57,551N 9,462E
Konečná poloha: 57,598N 8,942E
Směr: 279,8°
Sklon: 23,7°
VstupnĂ­ rychlost: 27,9 km/s
Rektascenze radiantu: 03:20 (50,2°)
Deklinace radiantu: 12,1°
MeteorickĂ˝ roj: JiĹľnĂ­ Tauridy
Elementy dráhy meteoroidu:
Vzdálenost v periheliu: 0,503 AU
Excentricita: 0,827
Sklon dráhy: 5,3°
Délka vzestupného uzlu: 47,8°
Argument perihelia: 95,0°
Střední anomálie: 351,5°
Epocha: 2015 NOV 10 18:43:23
orbit plot

NeinteraktivnĂ­ graf | InteraktivnĂ­ graf

position vs time
speed and acceleration