🇳🇴 🇬🇧 🇩🇪 🇨🇿 🇫🇮

Meteor Hanstholmin yllä 2015-11-10 18:43:23 UTC

KML-tiedosto  |  Interaktiivinen kartta

Kartta näyttää meteorin suuntahavainnot. Vaaleammat viivat näyttävät suunnat havaintoasemilta meteorin ilmestyessä, ja tummemmat viivat näyttävät, missä se viimeksi nähtiin. Sininen nuoli näyttää meteorin näkyvän lennon.

static map
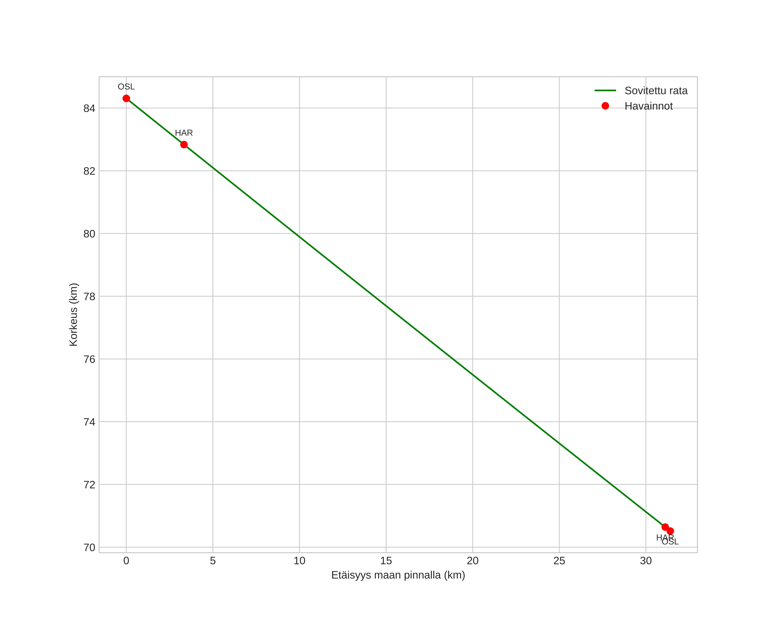
height profile
Meteorin ilmakehärata:
Alkukorkeus: 84,3 km
Loppukorkeus: 70,5 km
Alkupiste: 57,551N 9,462E
Loppupiste: 57,598N 8,942E
Suunta: 279,8°
Kallistuskulma: 23,7°
Tulonopeus: 27,9 km/s
Radiantin R,A,: 03:20 (50,2°)
Radiantin Dekl,: 12,1°
Meteoriparvi: Eteläiset tauridit
Meteoroidin rataelementit:
Perihelietäisyys: 0,503 AU
Eksentrisyys: 0,827
Inklinaatio: 5,3°
Nousevan solmun pituus: 47,8°
Perihelin argumentti: 95,0°
Keskianomalia: 351,5°
Epookki: 2015 NOV 10 18:43:23
orbit plot

Ei-interaktiivinen kuvaaja | Interaktiivinen kuvaaja

position vs time
speed and acceleration