🇳🇴 🇬🇧 🇩🇪 🇨🇿 🇫🇮

Meteor über Hanstholm 2015-11-10 18:43:23 UTC

KML-Datei  |  Interaktive Karte

Die Karte zeigt die Peilungen für den Meteor. Die helleren Linien zeigen die Richtungen von den Beobachtungsorten beim Erscheinen des Meteors, und die dunkleren Linien, wo er zuletzt gesehen wurde. Der blaue Pfeil zeigt die sichtbare Bahn des Meteors.

static map
height profile
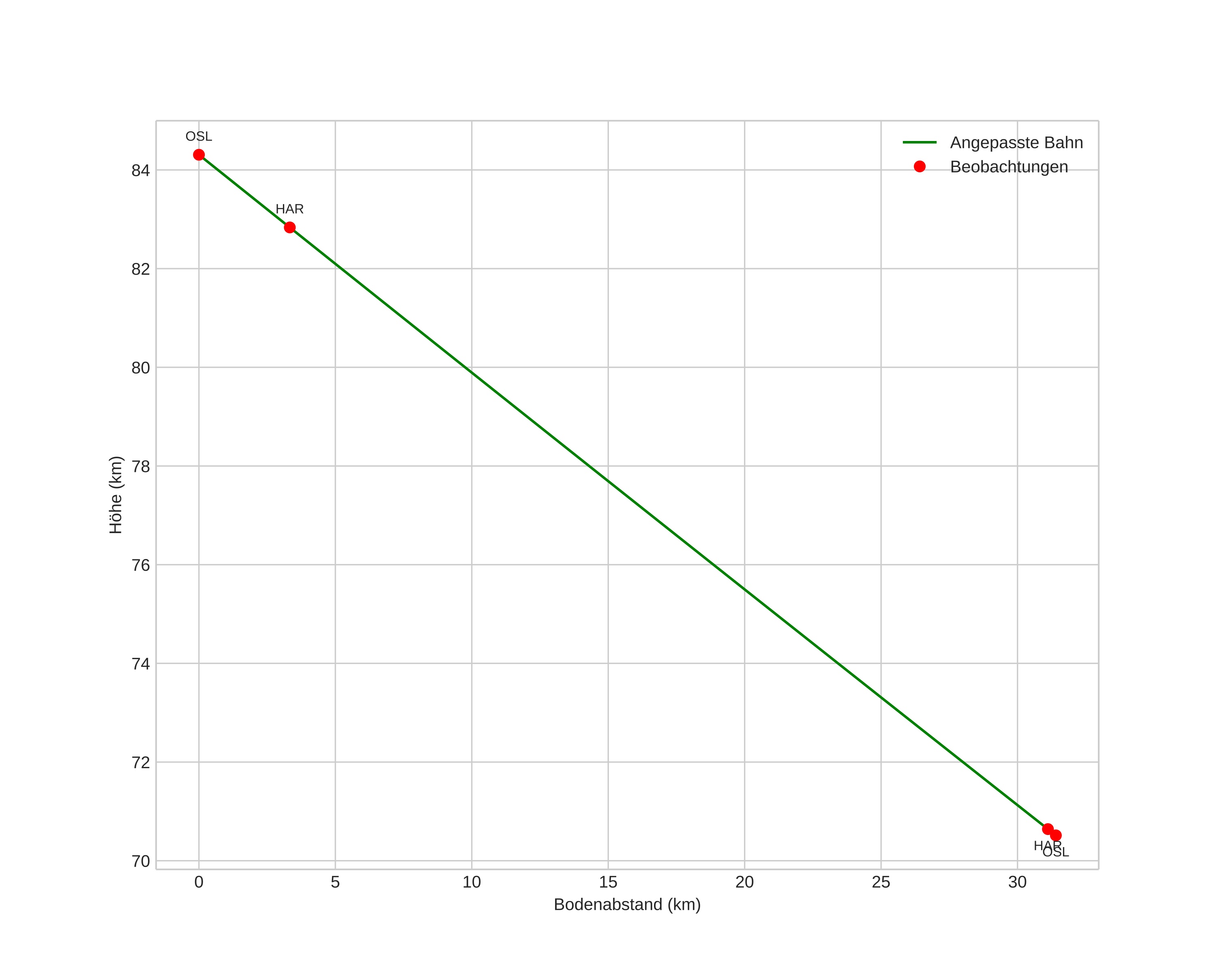
Atmosphärische Bahn des Meteors:
Anfangshöhe: 84,3 km
Endhöhe: 70,5 km
Startposition: 57,551N 9,462E
Endposition: 57,598N 8,942E
Richtung: 279,8°
Neigungswinkel: 23,7°
Eintrittsgeschwindigkeit: 27,9 km/s
Rektaszension des Radianten: 03:20 (50,2°)
Deklination des Radianten: 12,1°
Meteorstrom: Südliche Tauriden
Bahnelemente des Meteoroiden:
Periheldistanz: 0,503 AU
Exzentrizität: 0,827
Inklination: 5,3°
Länge des aufsteigenden Knotens: 47,8°
Argument des Perihels: 95,0°
Mittlere Anomalie: 351,5°
Epoche: 2015 NOV 10 18:43:23
orbit plot

Nicht-interaktives Diagramm | Interaktives Diagramm

position vs time
speed and acceleration