🇳🇴 🇬🇧 🇩🇪 🇨🇿 🇫🇮

Meteor, poloha: Aure 2015-11-19 23:33:58 UTC

Soubor KML  |  InteraktivnĂ­ mapa

Mapa zobrazuje dráhy meteoru. Světlejší čáry ukazují směry od pozorovacích stanic při objevení se meteoru a tmavší čáry, kde byl naposledy viděn. Modrá šipka značí viditelnou dráhu meteoru.

static map
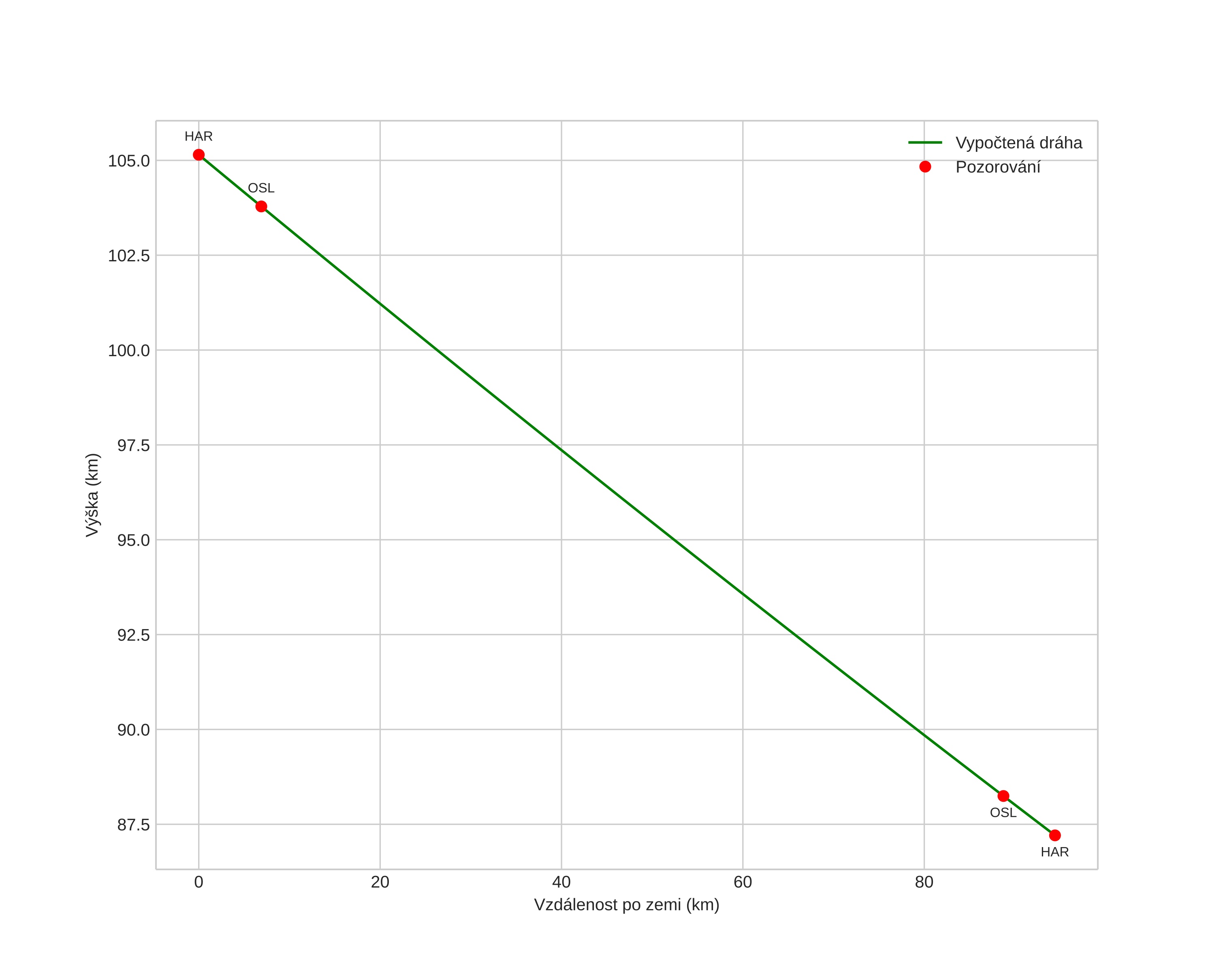
height profile
Atmosférická dráha meteoru:
Počáteční výška: 105,1 km
Konečná výška: 87,2 km
Počáteční poloha: 63,140N 10,166E
Konečná poloha: 63,241N 8,297E
Směr: 277,7°
Sklon: 10,7°
VstupnĂ­ rychlost: 66,7 km/s
Rektascenze radiantu: 09:22 (140,6°)
Deklinace radiantu: 5,6°
MeteorickĂ˝ roj: sporadickĂ˝
Elementy dráhy meteoroidu:
Vzdálenost v periheliu: 0,934 AU
Excentricita: 0,511
Sklon dráhy: 162,8°
Délka vzestupného uzlu: 57,1°
Argument perihelia: 33,1°
Střední anomálie: 350,4°
Epocha: 2015 NOV 19 23:33:58
orbit plot

NeinteraktivnĂ­ graf | InteraktivnĂ­ graf

position vs time
speed and acceleration