🇳🇴 🇬🇧 🇩🇪 🇨🇿 🇫🇮

Meteor über Aure 2015-11-19 23:33:58 UTC

KML-Datei  |  Interaktive Karte

Die Karte zeigt die Peilungen für den Meteor. Die helleren Linien zeigen die Richtungen von den Beobachtungsorten beim Erscheinen des Meteors, und die dunkleren Linien, wo er zuletzt gesehen wurde. Der blaue Pfeil zeigt die sichtbare Bahn des Meteors.

static map
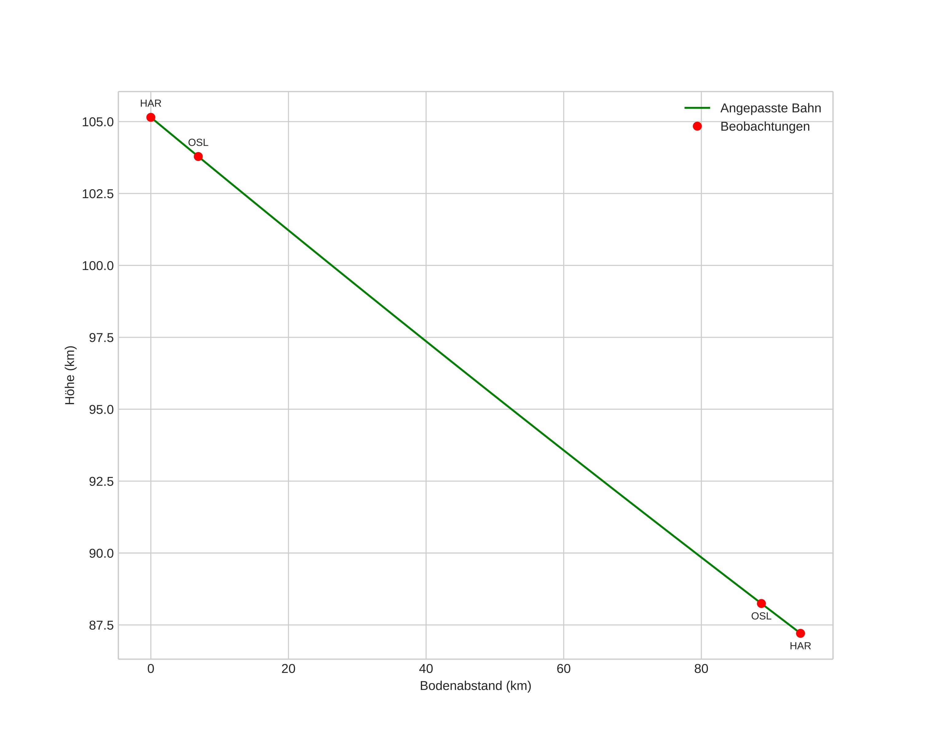
height profile
Atmosphärische Bahn des Meteors:
Anfangshöhe: 105,1 km
Endhöhe: 87,2 km
Startposition: 63,140N 10,166E
Endposition: 63,241N 8,297E
Richtung: 277,7°
Neigungswinkel: 10,7°
Eintrittsgeschwindigkeit: 66,7 km/s
Rektaszension des Radianten: 09:22 (140,6°)
Deklination des Radianten: 5,6°
Meteorstrom: sporadisch
Bahnelemente des Meteoroiden:
Periheldistanz: 0,934 AU
Exzentrizität: 0,511
Inklination: 162,8°
Länge des aufsteigenden Knotens: 57,1°
Argument des Perihels: 33,1°
Mittlere Anomalie: 350,4°
Epoche: 2015 NOV 19 23:33:58
orbit plot

Nicht-interaktives Diagramm | Interaktives Diagramm

position vs time
speed and acceleration