🇳🇴 🇬🇧 🇩🇪 🇨🇿 🇫🇮

Meteor Auren yllä 2015-11-19 23:33:58 UTC

KML-tiedosto  |  Interaktiivinen kartta

Kartta näyttää meteorin suuntahavainnot. Vaaleammat viivat näyttävät suunnat havaintoasemilta meteorin ilmestyessä, ja tummemmat viivat näyttävät, missä se viimeksi nähtiin. Sininen nuoli näyttää meteorin näkyvän lennon.

static map
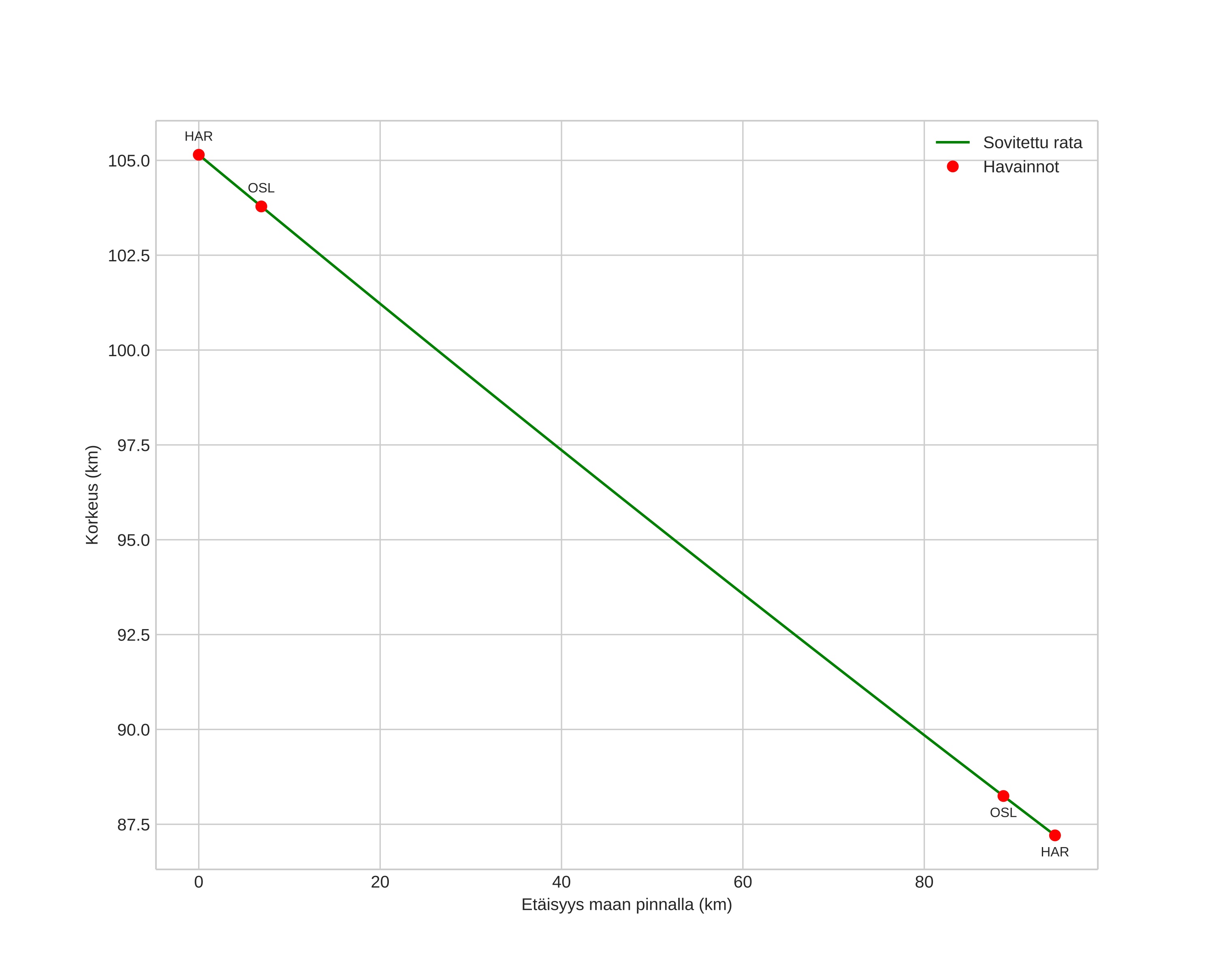
height profile
Meteorin ilmakehärata:
Alkukorkeus: 105,1 km
Loppukorkeus: 87,2 km
Alkupiste: 63,140N 10,166E
Loppupiste: 63,241N 8,297E
Suunta: 277,7°
Kallistuskulma: 10,7°
Tulonopeus: 66,7 km/s
Radiantin R,A,: 09:22 (140,6°)
Radiantin Dekl,: 5,6°
Meteoriparvi: Sporadinen
Meteoroidin rataelementit:
Perihelietäisyys: 0,934 AU
Eksentrisyys: 0,511
Inklinaatio: 162,8°
Nousevan solmun pituus: 57,1°
Perihelin argumentti: 33,1°
Keskianomalia: 350,4°
Epookki: 2015 NOV 19 23:33:58
orbit plot

Ei-interaktiivinen kuvaaja | Interaktiivinen kuvaaja

position vs time
speed and acceleration