🇳🇴 🇬🇧 🇩🇪 🇨🇿 🇫🇮

Meteor, poloha: Farnes 2015-12-11 23:14:27 UTC

Soubor KML  |  InteraktivnĂ­ mapa

Mapa zobrazuje dráhy meteoru. Světlejší čáry ukazují směry od pozorovacích stanic při objevení se meteoru a tmavší čáry, kde byl naposledy viděn. Modrá šipka značí viditelnou dráhu meteoru.

static map
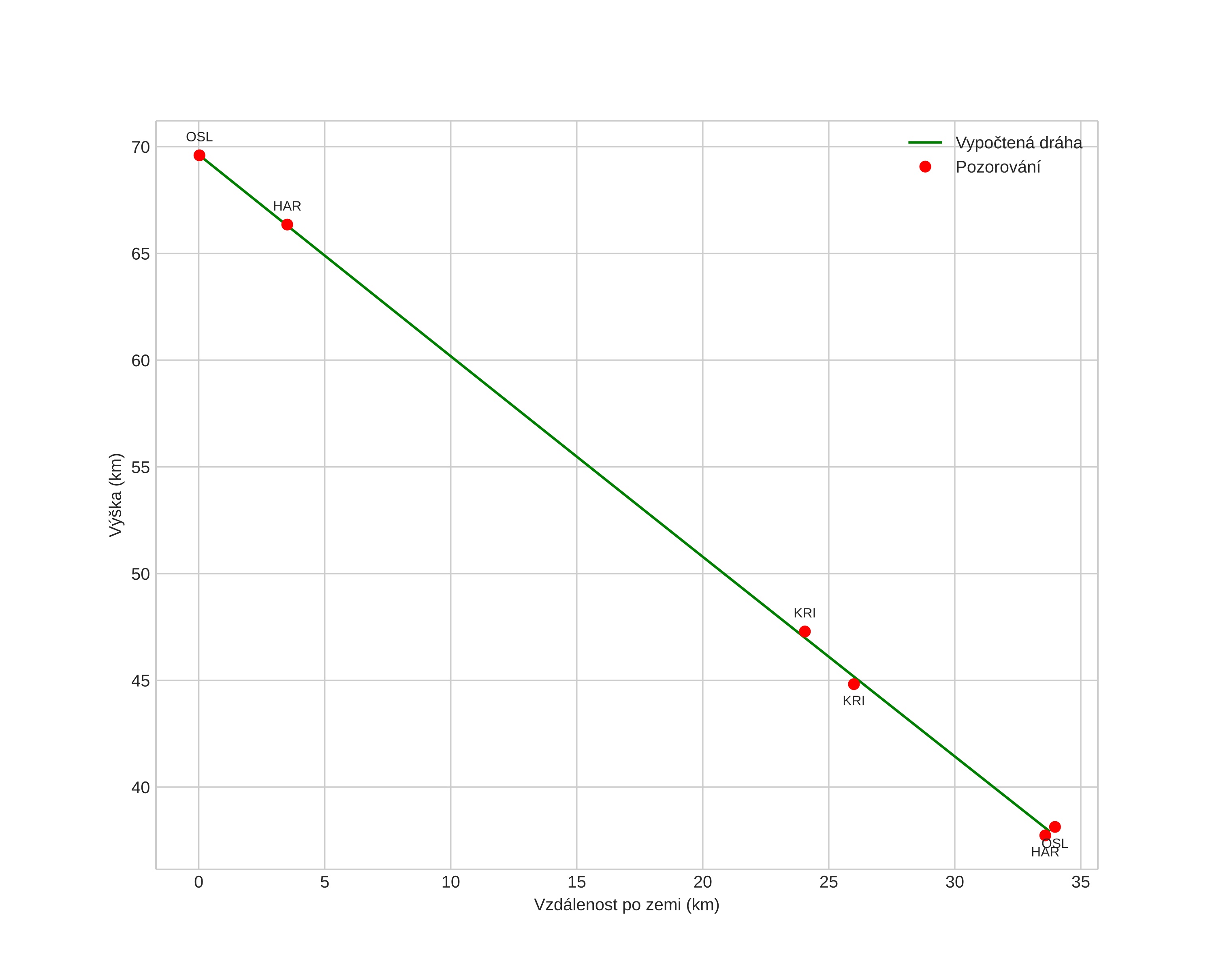
height profile
Atmosférická dráha meteoru:
Počáteční výška: 69,6 km
Konečná výška: 37,9 km
Počáteční poloha: 61,238N 7,166E
Konečná poloha: 61,324N 7,772E
Směr: 73,3°
Sklon: 43,2°
VstupnĂ­ rychlost: 11,5 km/s
Rektascenze radiantu: 00:29 (7,4°)
Deklinace radiantu: 5,8°
MeteorickĂ˝ roj: sporadickĂ˝
Elementy dráhy meteoroidu:
Vzdálenost v periheliu: 0,981 AU
Excentricita: 0,249
Sklon dráhy: 0,2°
Délka vzestupného uzlu: 258,8°
Argument perihelia: 192,2°
Střední anomálie: 353,2°
Epocha: 2015 DEC 11 23:14:27
orbit plot

NeinteraktivnĂ­ graf | InteraktivnĂ­ graf

position vs time
speed and acceleration

Kristiansand (KRI) cam4

gnomonic
Videa
Obrázky
Textové soubory
• Detekce
• Pozorování
• Souřadnice
• Protokol
Jasnost