🇳🇴 🇬🇧 🇩🇪 🇨🇿 🇫🇮

Meteor über Farnes 2015-12-11 23:14:27 UTC

KML-Datei  |  Interaktive Karte

Die Karte zeigt die Peilungen für den Meteor. Die helleren Linien zeigen die Richtungen von den Beobachtungsorten beim Erscheinen des Meteors, und die dunkleren Linien, wo er zuletzt gesehen wurde. Der blaue Pfeil zeigt die sichtbare Bahn des Meteors.

static map
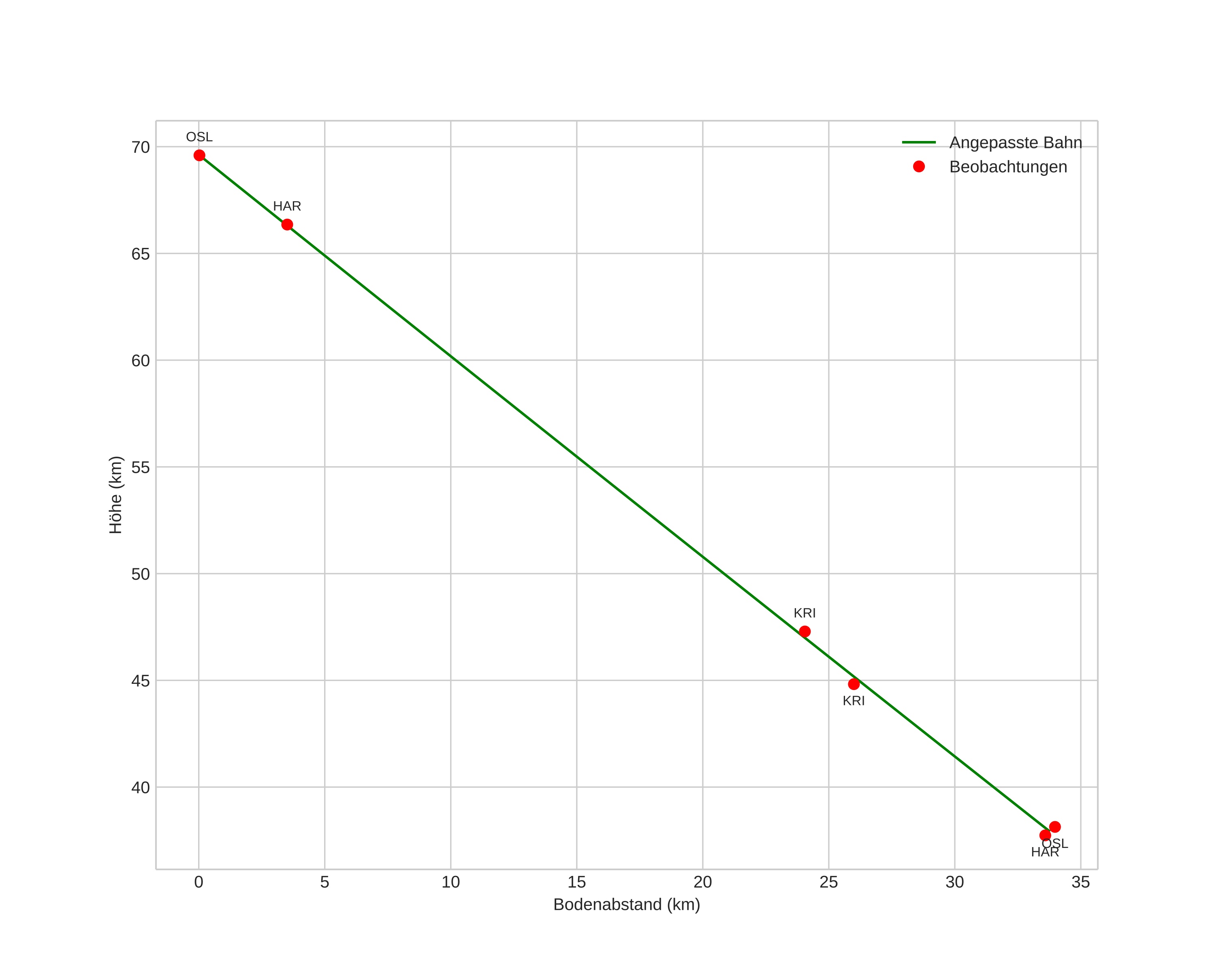
height profile
Atmosphärische Bahn des Meteors:
Anfangshöhe: 69,6 km
Endhöhe: 37,9 km
Startposition: 61,238N 7,166E
Endposition: 61,324N 7,772E
Richtung: 73,3°
Neigungswinkel: 43,2°
Eintrittsgeschwindigkeit: 11,5 km/s
Rektaszension des Radianten: 00:29 (7,4°)
Deklination des Radianten: 5,8°
Meteorstrom: sporadisch
Bahnelemente des Meteoroiden:
Periheldistanz: 0,981 AU
Exzentrizität: 0,249
Inklination: 0,2°
Länge des aufsteigenden Knotens: 258,8°
Argument des Perihels: 192,2°
Mittlere Anomalie: 353,2°
Epoche: 2015 DEC 11 23:14:27
orbit plot

Nicht-interaktives Diagramm | Interaktives Diagramm

position vs time
speed and acceleration

Kristiansand (KRI) cam4

gnomonic
Videos
Bilder
Textdateien
• Erkennung
• Beobachtung
• Koordinaten
• Protokoll
Helligkeit