🇳🇴 🇬🇧 🇩🇪 🇨🇿 🇫🇮

Meteor Farnesin yllä 2015-12-11 23:14:27 UTC

KML-tiedosto  |  Interaktiivinen kartta

Kartta näyttää meteorin suuntahavainnot. Vaaleammat viivat näyttävät suunnat havaintoasemilta meteorin ilmestyessä, ja tummemmat viivat näyttävät, missä se viimeksi nähtiin. Sininen nuoli näyttää meteorin näkyvän lennon.

static map
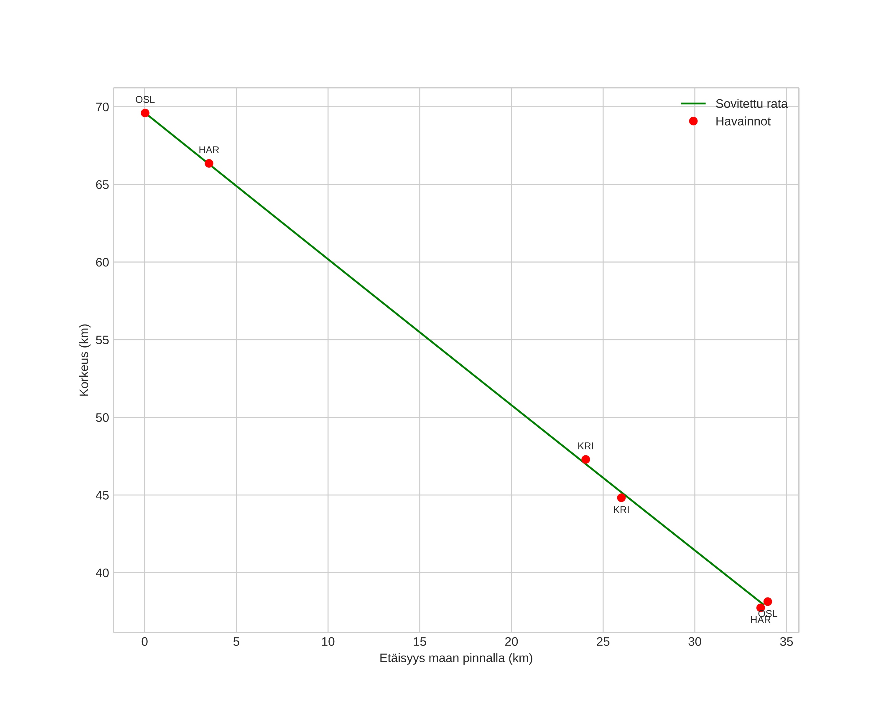
height profile
Meteorin ilmakehärata:
Alkukorkeus: 69,6 km
Loppukorkeus: 37,9 km
Alkupiste: 61,238N 7,166E
Loppupiste: 61,324N 7,772E
Suunta: 73,3°
Kallistuskulma: 43,2°
Tulonopeus: 11,5 km/s
Radiantin R,A,: 00:29 (7,4°)
Radiantin Dekl,: 5,8°
Meteoriparvi: Sporadinen
Meteoroidin rataelementit:
Perihelietäisyys: 0,981 AU
Eksentrisyys: 0,249
Inklinaatio: 0,2°
Nousevan solmun pituus: 258,8°
Perihelin argumentti: 192,2°
Keskianomalia: 353,2°
Epookki: 2015 DEC 11 23:14:27
orbit plot

Ei-interaktiivinen kuvaaja | Interaktiivinen kuvaaja

position vs time
speed and acceleration

Kristiansand (KRI) cam4

gnomonic
Videot:
Kuvat:
Tekstitiedostot:
• Havaintoraportti
• Observaatio
• Koordinaatit
• Loki
Kirkkaus