🇳🇴 🇬🇧 🇩🇪 🇨🇿 🇫🇮

Meteor, poloha: Grua 2015-12-14 17:16:24 UTC

Soubor KML  |  InteraktivnĂ­ mapa

Mapa zobrazuje dráhy meteoru. Světlejší čáry ukazují směry od pozorovacích stanic při objevení se meteoru a tmavší čáry, kde byl naposledy viděn. Modrá šipka značí viditelnou dráhu meteoru.

static map
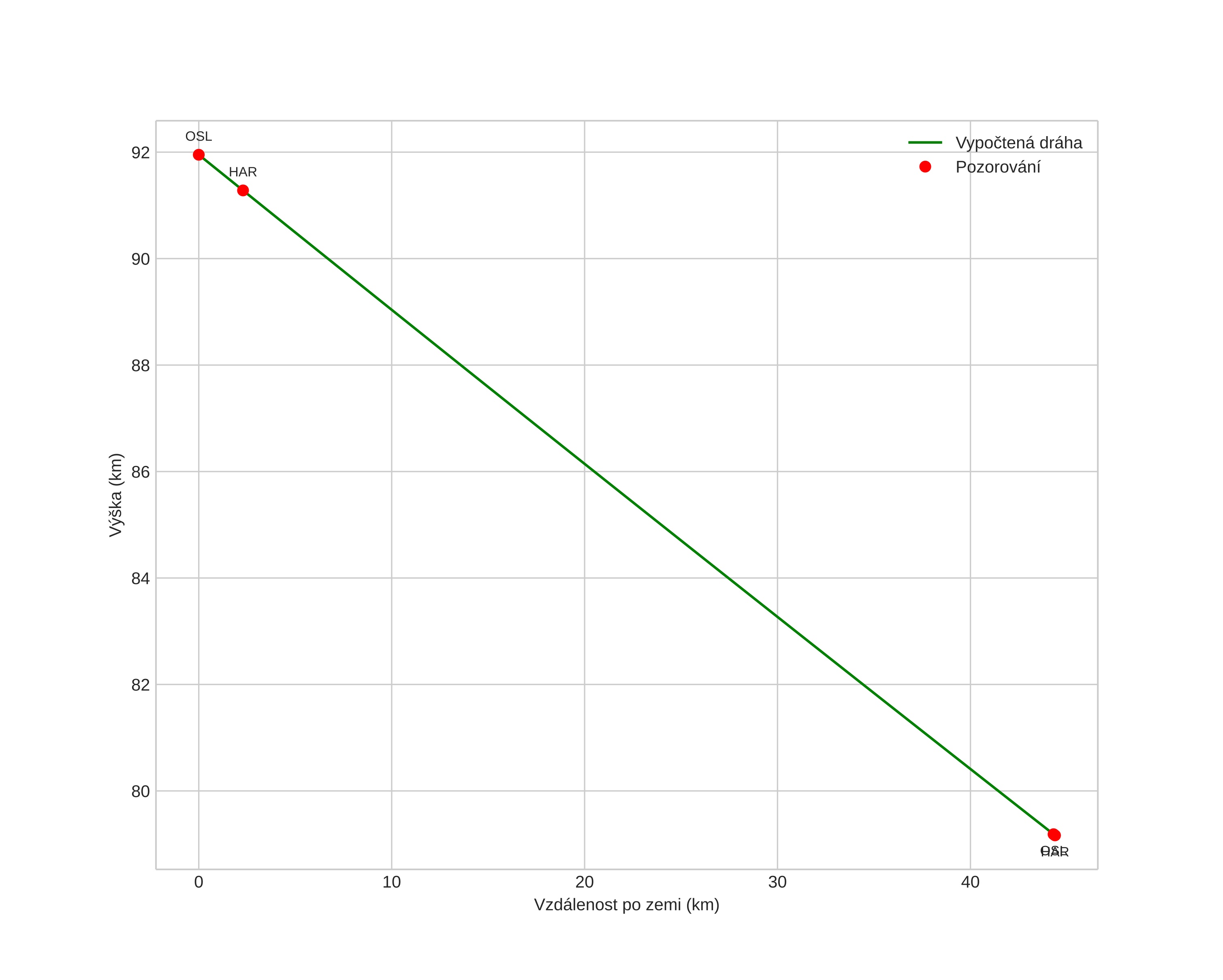
height profile
Atmosférická dráha meteoru:
Počáteční výška: 92,0 km
Konečná výška: 79,2 km
Počáteční poloha: 60,500N 11,305E
Konečná poloha: 60,237N 10,697E
Směr: 229,1°
Sklon: 16,1°
VstupnĂ­ rychlost: 38,6 km/s
Rektascenze radiantu: 07:35 (113,8°)
Deklinace radiantu: 31,9°
MeteorickĂ˝ roj: Geminidy
Elementy dráhy meteoroidu:
Vzdálenost v periheliu: 0,122 AU
Excentricita: 0,923
Sklon dráhy: 26,2°
Délka vzestupného uzlu: 262,2°
Argument perihelia: 325,5°
Střední anomálie: 342,6°
Epocha: 2015 DEC 14 17:16:24
orbit plot

NeinteraktivnĂ­ graf | InteraktivnĂ­ graf

position vs time
speed and acceleration