🇳🇴 🇬🇧 🇩🇪 🇨🇿 🇫🇮

Meteor Gruan yllä 2015-12-14 17:16:24 UTC

KML-tiedosto  |  Interaktiivinen kartta

Kartta näyttää meteorin suuntahavainnot. Vaaleammat viivat näyttävät suunnat havaintoasemilta meteorin ilmestyessä, ja tummemmat viivat näyttävät, missä se viimeksi nähtiin. Sininen nuoli näyttää meteorin näkyvän lennon.

static map
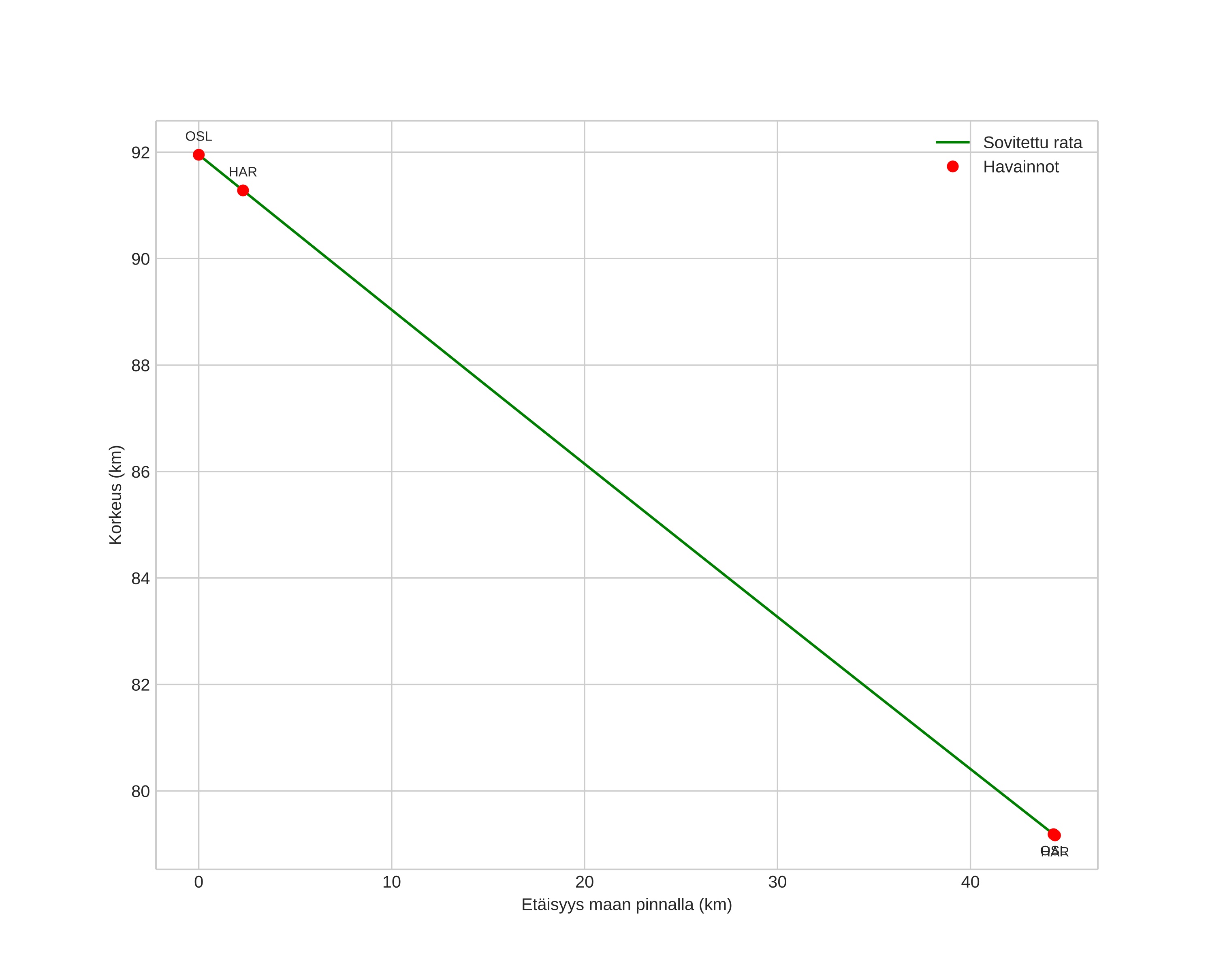
height profile
Meteorin ilmakehärata:
Alkukorkeus: 92,0 km
Loppukorkeus: 79,2 km
Alkupiste: 60,500N 11,305E
Loppupiste: 60,237N 10,697E
Suunta: 229,1°
Kallistuskulma: 16,1°
Tulonopeus: 38,6 km/s
Radiantin R,A,: 07:35 (113,8°)
Radiantin Dekl,: 31,9°
Meteoriparvi: Geminidit
Meteoroidin rataelementit:
Perihelietäisyys: 0,122 AU
Eksentrisyys: 0,923
Inklinaatio: 26,2°
Nousevan solmun pituus: 262,2°
Perihelin argumentti: 325,5°
Keskianomalia: 342,6°
Epookki: 2015 DEC 14 17:16:24
orbit plot

Ei-interaktiivinen kuvaaja | Interaktiivinen kuvaaja

position vs time
speed and acceleration