🇳🇴 🇬🇧 🇩🇪 🇨🇿 🇫🇮

Meteor über Grua 2015-12-14 17:16:24 UTC

KML-Datei  |  Interaktive Karte

Die Karte zeigt die Peilungen für den Meteor. Die helleren Linien zeigen die Richtungen von den Beobachtungsorten beim Erscheinen des Meteors, und die dunkleren Linien, wo er zuletzt gesehen wurde. Der blaue Pfeil zeigt die sichtbare Bahn des Meteors.

static map
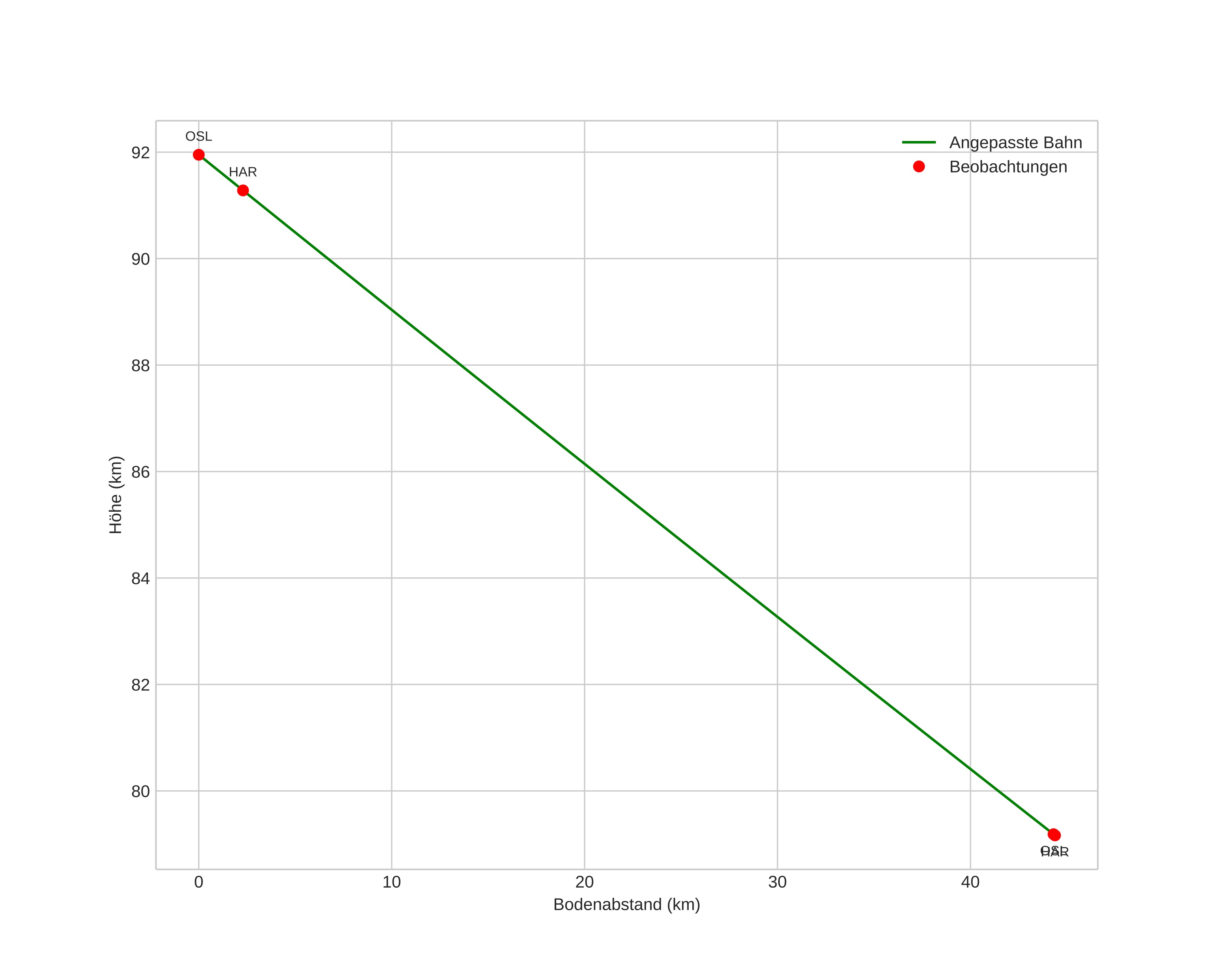
height profile
Atmosphärische Bahn des Meteors:
Anfangshöhe: 92,0 km
Endhöhe: 79,2 km
Startposition: 60,500N 11,305E
Endposition: 60,237N 10,697E
Richtung: 229,1°
Neigungswinkel: 16,1°
Eintrittsgeschwindigkeit: 38,6 km/s
Rektaszension des Radianten: 07:35 (113,8°)
Deklination des Radianten: 31,9°
Meteorstrom: Geminiden
Bahnelemente des Meteoroiden:
Periheldistanz: 0,122 AU
Exzentrizität: 0,923
Inklination: 26,2°
Länge des aufsteigenden Knotens: 262,2°
Argument des Perihels: 325,5°
Mittlere Anomalie: 342,6°
Epoche: 2015 DEC 14 17:16:24
orbit plot

Nicht-interaktives Diagramm | Interaktives Diagramm

position vs time
speed and acceleration