🇳🇴 🇬🇧 🇩🇪 🇨🇿 🇫🇮

Meteor, poloha: Kviteseid 2015-12-14 22:19:43 UTC

Solobservatoriet – 1
Solobservatoriet – 1
Solobservatoriet – 4
Solobservatoriet – 4
Voksenlia – 1
Voksenlia – 1

Soubor KML  | Interaktivní mapa

map

Mapa zobrazuje dráhy meteoru. Světlejší čáry ukazují směry od pozorovacích stanic při objevení se meteoru a tmavší čáry, kde byl naposledy viděn. Modrá šipka značí viditelnou dráhu meteoru.

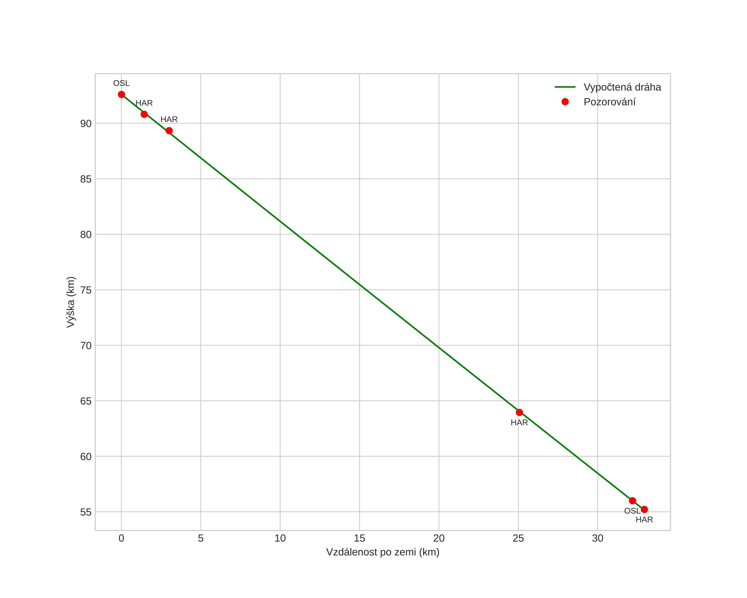
height profile
Atmosférická dráha meteoru:
Počáteční výška: 92,6 km
Konečná výška: 55,2 km
Počáteční poloha: 59,269N 8,891E
Konečná poloha: 59,356N 8,337E
Směr: 287,3°
Sklon: 48,7°
Vstupní rychlost: 33,0 km/s
Rektascenze radiantu: 07:44 (116,0°)
Deklinace radiantu: 32,1°
Meteorický roj: Geminidy
Elementy dráhy meteoroidu:
Vzdálenost v periheliu: 0,154 AU
Excentricita: 0,855
Sklon dráhy: 20,6°
Délka vzestupného uzlu: 262,4°
Argument perihelia: 326,1°
Střední anomálie: 323,7°
Epocha: 2015 DEC 14 22:19:43
orbit

Neinteraktivní graf | Interaktivní graf

position vs time
speed & acceleration