🇳🇴 🇬🇧 🇩🇪 🇨🇿 🇫🇮

Meteor über Kviteseid 2015-12-14 22:19:43 UTC

Solobservatoriet – 1
Solobservatoriet – 1
Solobservatoriet – 4
Solobservatoriet – 4
Voksenlia – 1
Voksenlia – 1

KML-Datei  | Interaktive Karte

map

Die Karte zeigt die Peilungen für den Meteor. Die helleren Linien zeigen die Richtungen von den Beobachtungsorten beim Erscheinen des Meteors, und die dunkleren Linien, wo er zuletzt gesehen wurde. Der blaue Pfeil zeigt die sichtbare Bahn des Meteors.

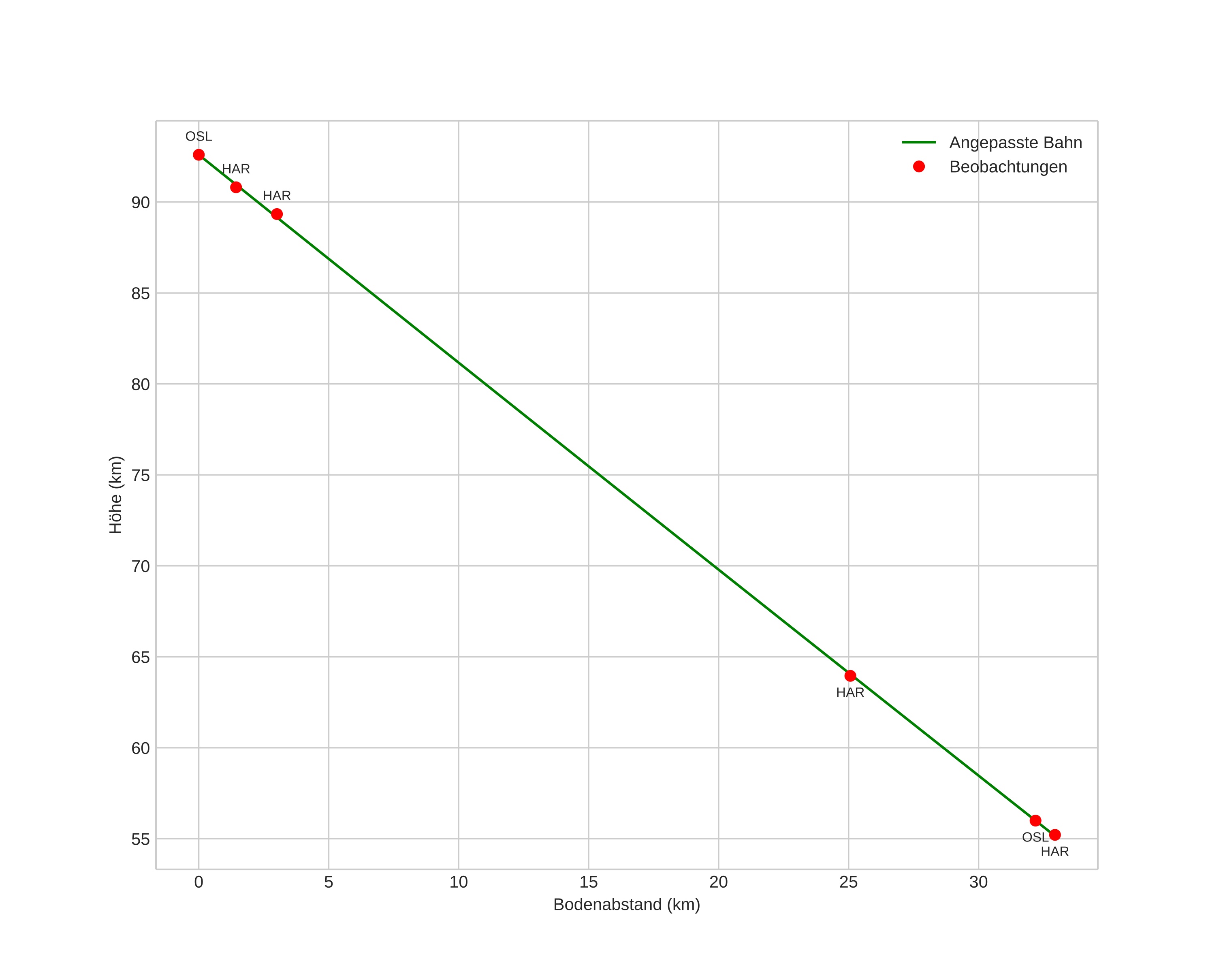
height profile
Atmosphärische Bahn des Meteors:
Anfangshöhe: 92,6 km
Endhöhe: 55,2 km
Startposition: 59,269N 8,891E
Endposition: 59,356N 8,337E
Richtung: 287,3°
Neigungswinkel: 48,7°
Eintrittsgeschwindigkeit: 33,0 km/s
Rektaszension des Radianten: 07:44 (116,0°)
Deklination des Radianten: 32,1°
Meteorstrom: Geminiden
Bahnelemente des Meteoroiden:
Periheldistanz: 0,154 AU
Exzentrizität: 0,855
Inklination: 20,6°
Länge des aufsteigenden Knotens: 262,4°
Argument des Perihels: 326,1°
Mittlere Anomalie: 323,7°
Epoche: 2015 DEC 14 22:19:43
orbit

Nicht-interaktives Diagramm | Interaktives Diagramm

position vs time
speed & acceleration