🇳🇴 🇬🇧 🇩🇪 🇨🇿 🇫🇮

Meteor Kviteseidin yllä 2015-12-14 22:19:43 UTC

Solobservatoriet – 1
Solobservatoriet – 1
Solobservatoriet – 4
Solobservatoriet – 4
Voksenlia – 1
Voksenlia – 1

KML-tiedosto  | Interaktiivinen kartta

map

Kartta näyttää meteorin suuntahavainnot. Vaaleammat viivat näyttävät suunnat havaintoasemilta meteorin ilmestyessä, ja tummemmat viivat näyttävät, missä se viimeksi nähtiin. Sininen nuoli näyttää meteorin näkyvän lennon.

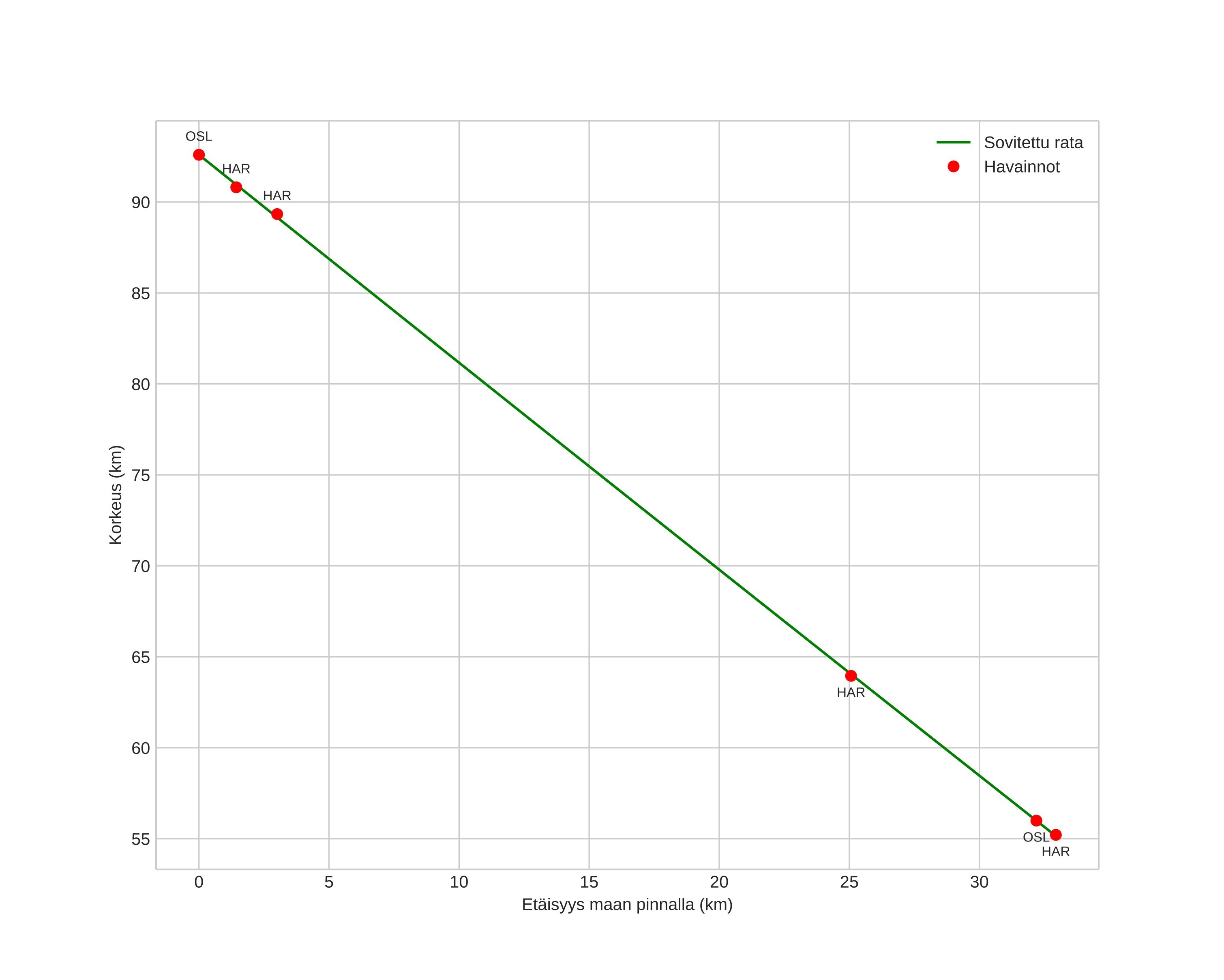
height profile
Meteorin ilmakehärata:
Alkukorkeus: 92,6 km
Loppukorkeus: 55,2 km
Alkupiste: 59,269N 8,891E
Loppupiste: 59,356N 8,337E
Suunta: 287,3°
Kallistuskulma: 48,7°
Tulonopeus: 33,0 km/s
Radiantin R,A,: 07:44 (116,0°)
Radiantin Dekl,: 32,1°
Meteoriparvi: Geminidit
Meteoroidin rataelementit:
Perihelietäisyys: 0,154 AU
Eksentrisyys: 0,855
Inklinaatio: 20,6°
Nousevan solmun pituus: 262,4°
Perihelin argumentti: 326,1°
Keskianomalia: 323,7°
Epookki: 2015 DEC 14 22:19:43
orbit

Ei-interaktiivinen kuvaaja | Interaktiivinen kuvaaja

position vs time
speed & acceleration