🇳🇴 🇬🇧 🇩🇪 🇨🇿 🇫🇮

Meteor, poloha: Innbygda 2015-12-14 22:53:48 UTC

Soubor KML  |  InteraktivnĂ­ mapa

Mapa zobrazuje dráhy meteoru. Světlejší čáry ukazují směry od pozorovacích stanic při objevení se meteoru a tmavší čáry, kde byl naposledy viděn. Modrá šipka značí viditelnou dráhu meteoru.

static map
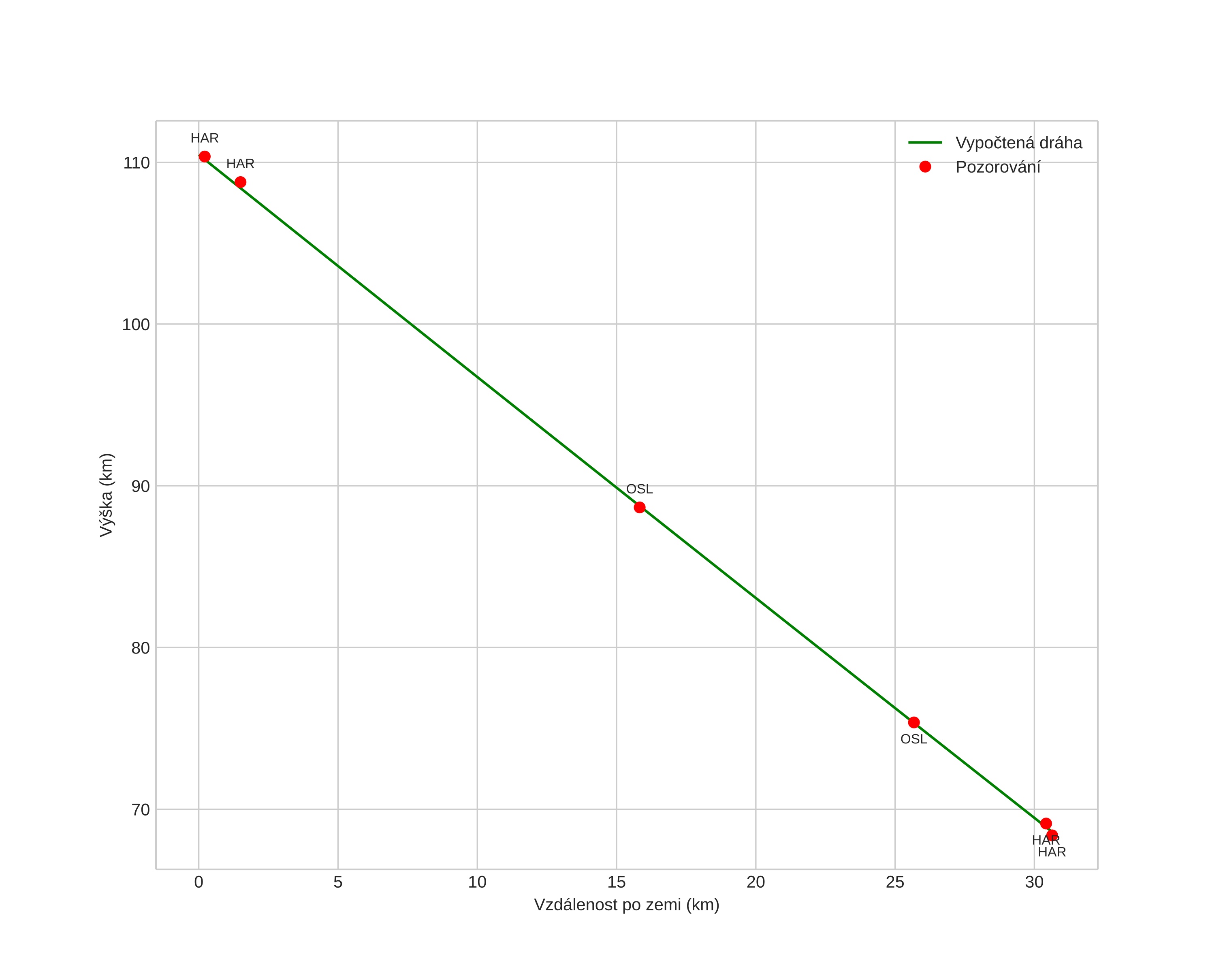
height profile
Atmosférická dráha meteoru:
Počáteční výška: 110,5 km
Konečná výška: 68,5 km
Počáteční poloha: 60,792N 12,384E
Konečná poloha: 61,056N 12,215E
Směr: 342,8°
Sklon: 53,8°
VstupnĂ­ rychlost: 35,9 km/s
Rektascenze radiantu: 05:58 (89,7°)
Deklinace radiantu: 24,4°
MeteorickĂ˝ roj: sporadickĂ˝
Elementy dráhy meteoroidu:
Vzdálenost v periheliu: 0,365 AU
Excentricita: 1,012
Sklon dráhy: 1,3°
Délka vzestupného uzlu: 262,3°
Argument perihelia: 284,7°
Střední anomálie: -0,2°
Epocha: 2015 DEC 14 22:53:48
orbit plot

NeinteraktivnĂ­ graf | InteraktivnĂ­ graf

position vs time
speed and acceleration