🇳🇴 🇬🇧 🇩🇪 🇨🇿 🇫🇮

Meteor über Innbygda 2015-12-14 22:53:48 UTC

KML-Datei  |  Interaktive Karte

Die Karte zeigt die Peilungen für den Meteor. Die helleren Linien zeigen die Richtungen von den Beobachtungsorten beim Erscheinen des Meteors, und die dunkleren Linien, wo er zuletzt gesehen wurde. Der blaue Pfeil zeigt die sichtbare Bahn des Meteors.

static map
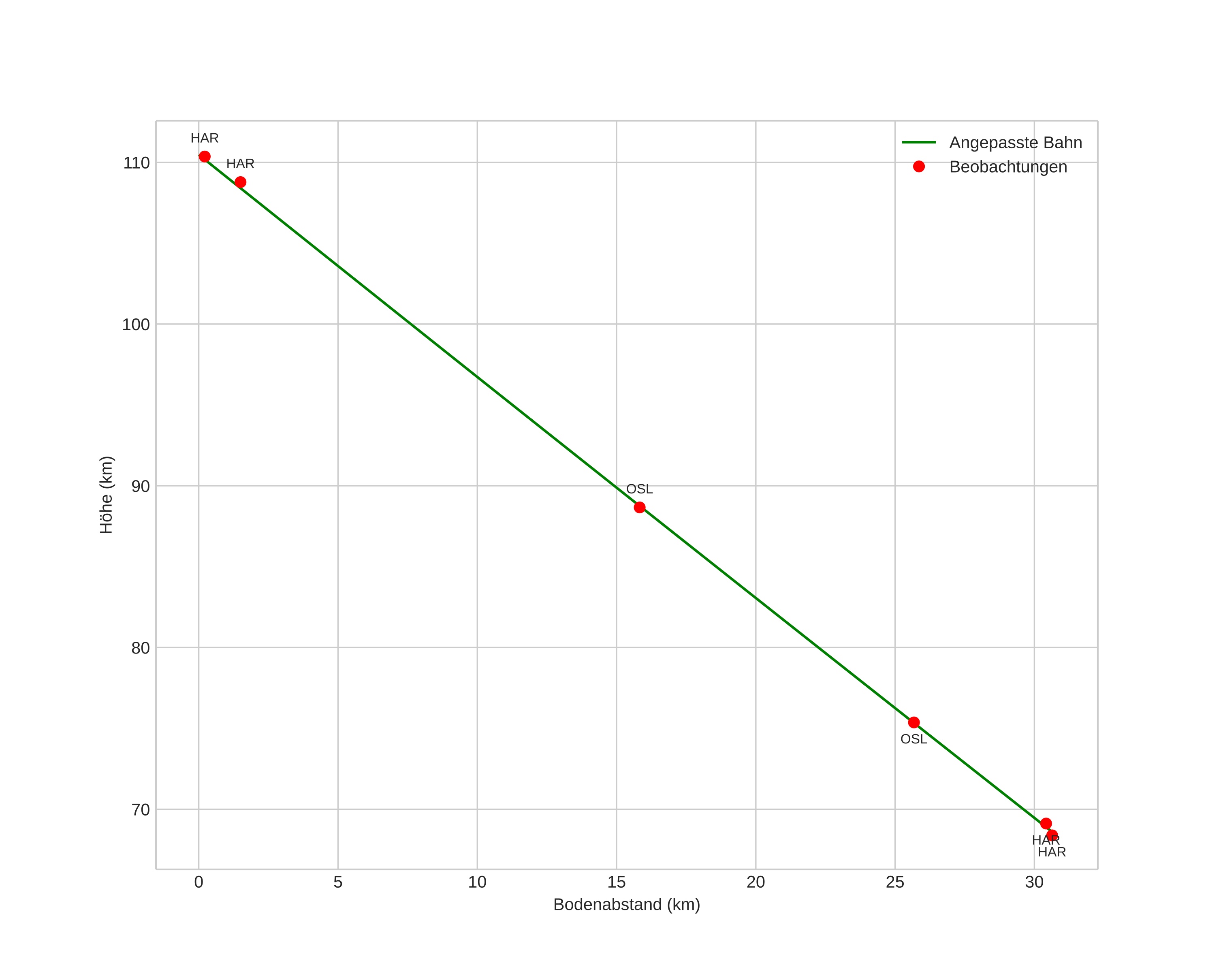
height profile
Atmosphärische Bahn des Meteors:
Anfangshöhe: 110,5 km
Endhöhe: 68,5 km
Startposition: 60,792N 12,384E
Endposition: 61,056N 12,215E
Richtung: 342,8°
Neigungswinkel: 53,8°
Eintrittsgeschwindigkeit: 35,9 km/s
Rektaszension des Radianten: 05:58 (89,7°)
Deklination des Radianten: 24,4°
Meteorstrom: sporadisch
Bahnelemente des Meteoroiden:
Periheldistanz: 0,365 AU
Exzentrizität: 1,012
Inklination: 1,3°
Länge des aufsteigenden Knotens: 262,3°
Argument des Perihels: 284,7°
Mittlere Anomalie: -0,2°
Epoche: 2015 DEC 14 22:53:48
orbit plot

Nicht-interaktives Diagramm | Interaktives Diagramm

position vs time
speed and acceleration