🇳🇴 🇬🇧 🇩🇪 🇨🇿 🇫🇮

Meteor Innbygdan yllä 2015-12-14 22:53:48 UTC

KML-tiedosto  |  Interaktiivinen kartta

Kartta näyttää meteorin suuntahavainnot. Vaaleammat viivat näyttävät suunnat havaintoasemilta meteorin ilmestyessä, ja tummemmat viivat näyttävät, missä se viimeksi nähtiin. Sininen nuoli näyttää meteorin näkyvän lennon.

static map
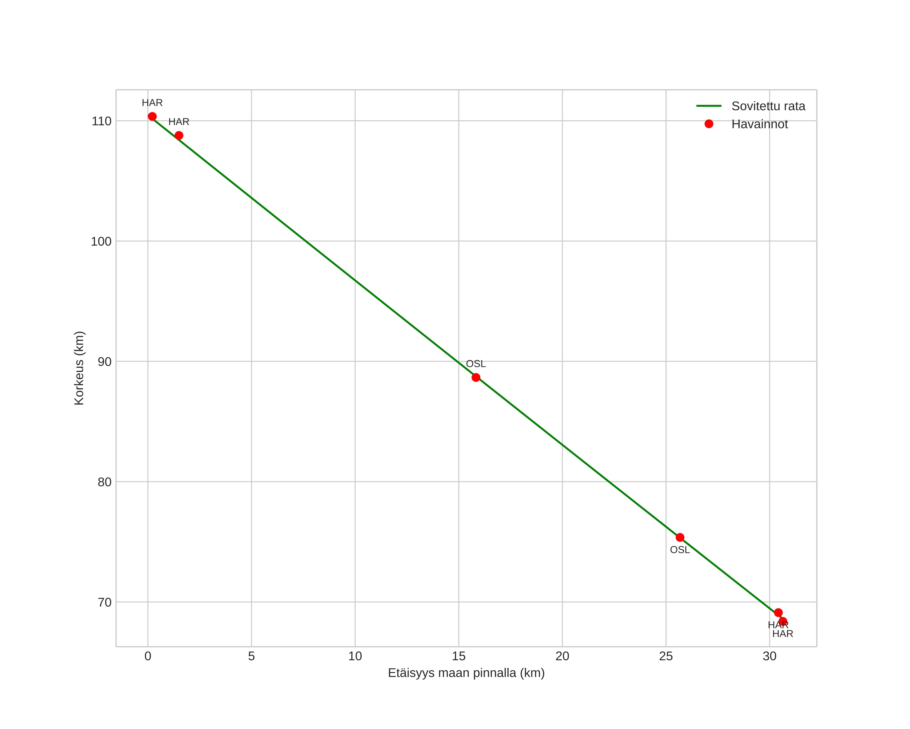
height profile
Meteorin ilmakehärata:
Alkukorkeus: 110,5 km
Loppukorkeus: 68,5 km
Alkupiste: 60,792N 12,384E
Loppupiste: 61,056N 12,215E
Suunta: 342,8°
Kallistuskulma: 53,8°
Tulonopeus: 35,9 km/s
Radiantin R,A,: 05:58 (89,7°)
Radiantin Dekl,: 24,4°
Meteoriparvi: Sporadinen
Meteoroidin rataelementit:
Perihelietäisyys: 0,365 AU
Eksentrisyys: 1,012
Inklinaatio: 1,3°
Nousevan solmun pituus: 262,3°
Perihelin argumentti: 284,7°
Keskianomalia: -0,2°
Epookki: 2015 DEC 14 22:53:48
orbit plot

Ei-interaktiivinen kuvaaja | Interaktiivinen kuvaaja

position vs time
speed and acceleration