🇳🇴 🇬🇧 🇩🇪 🇨🇿 🇫🇮

Meteor, poloha: Hvide Sande 2015-12-27 20:48:33 UTC

Soubor KML  |  InteraktivnĂ­ mapa

Mapa zobrazuje dráhy meteoru. Světlejší čáry ukazují směry od pozorovacích stanic při objevení se meteoru a tmavší čáry, kde byl naposledy viděn. Modrá šipka značí viditelnou dráhu meteoru.

static map
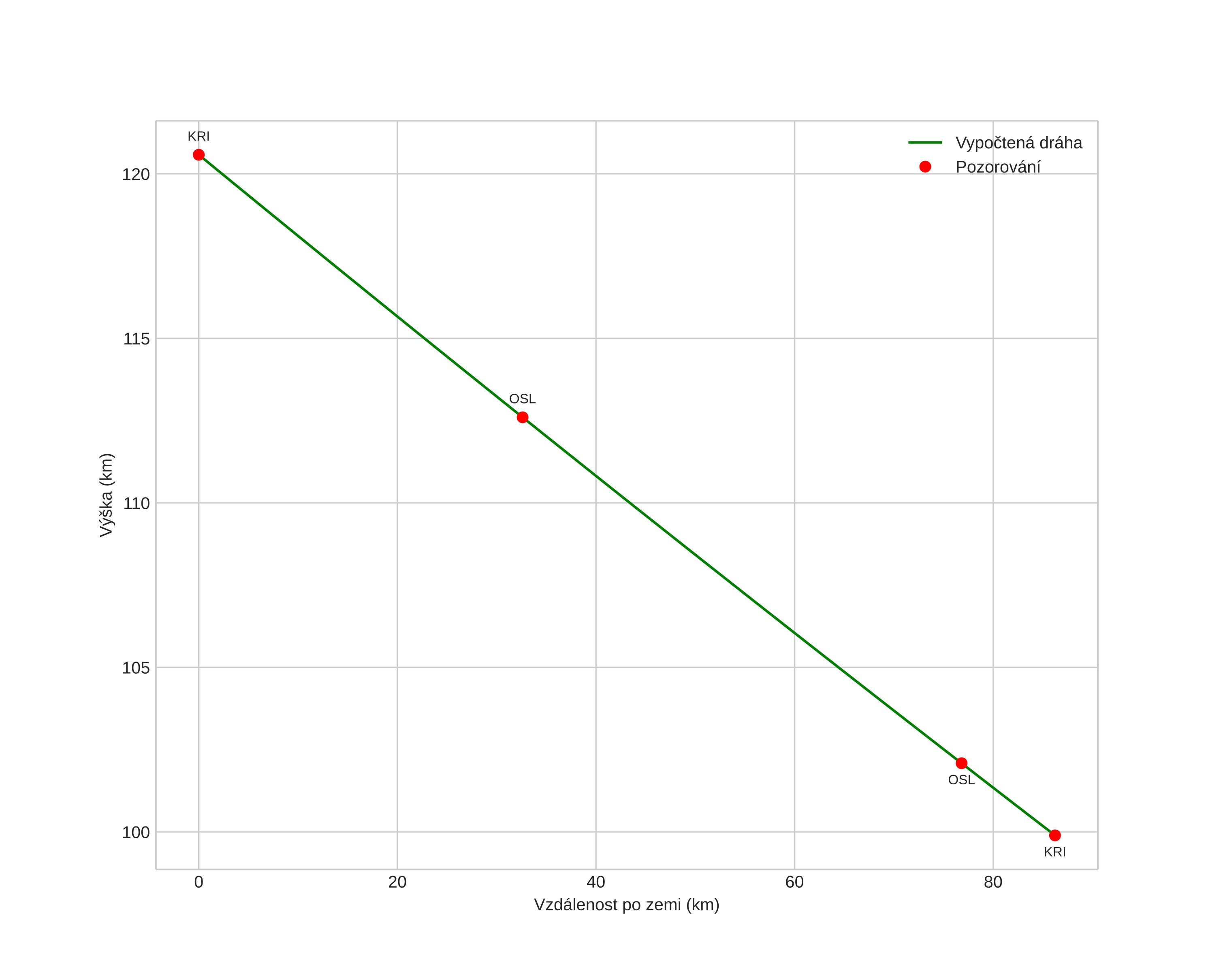
height profile
Atmosférická dráha meteoru:
Počáteční výška: 120,6 km
Konečná výška: 99,9 km
Počáteční poloha: 56,792N 8,211E
Konečná poloha: 56,378N 7,021E
Směr: 238,2°
Sklon: 13,5°
VstupnĂ­ rychlost: 66,1 km/s
Rektascenze radiantu: 11:06 (166,5°)
Deklinace radiantu: 28,0°
MeteorickĂ˝ roj: desember-leonis-minoridene
Elementy dráhy meteoroidu:
Vzdálenost v periheliu: 0,545 AU
Excentricita: 1,071
Sklon dráhy: 135,2°
Délka vzestupného uzlu: 275,6°
Argument perihelia: 262,0°
Střední anomálie: -1,7°
Epocha: 2015 DEC 27 20:48:33
orbit plot

NeinteraktivnĂ­ graf | InteraktivnĂ­ graf

position vs time
speed and acceleration