🇳🇴 🇬🇧 🇩🇪 🇨🇿 🇫🇮

Meteor Hvide Sanden yllä 2015-12-27 20:48:33 UTC

KML-tiedosto  |  Interaktiivinen kartta

Kartta näyttää meteorin suuntahavainnot. Vaaleammat viivat näyttävät suunnat havaintoasemilta meteorin ilmestyessä, ja tummemmat viivat näyttävät, missä se viimeksi nähtiin. Sininen nuoli näyttää meteorin näkyvän lennon.

static map
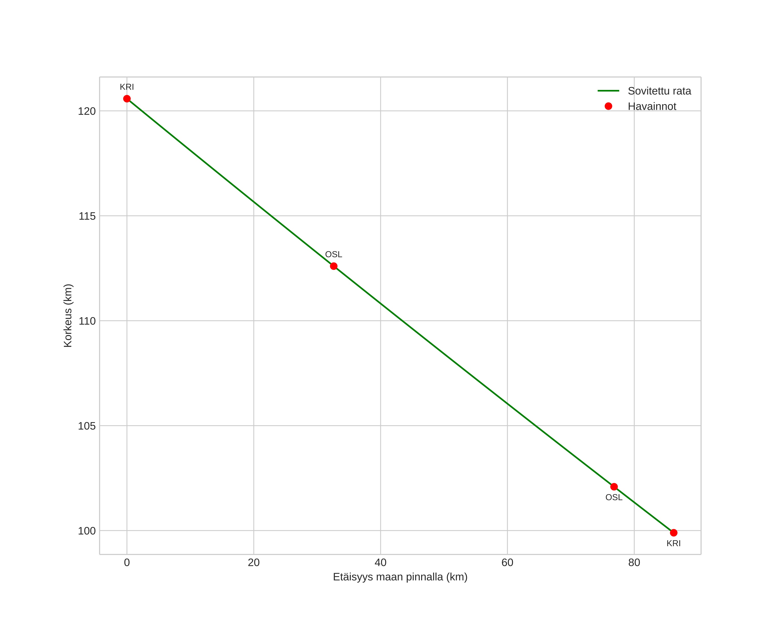
height profile
Meteorin ilmakehärata:
Alkukorkeus: 120,6 km
Loppukorkeus: 99,9 km
Alkupiste: 56,792N 8,211E
Loppupiste: 56,378N 7,021E
Suunta: 238,2°
Kallistuskulma: 13,5°
Tulonopeus: 66,1 km/s
Radiantin R,A,: 11:06 (166,5°)
Radiantin Dekl,: 28,0°
Meteoriparvi: desember-leonis-minoridene
Meteoroidin rataelementit:
Perihelietäisyys: 0,545 AU
Eksentrisyys: 1,071
Inklinaatio: 135,2°
Nousevan solmun pituus: 275,6°
Perihelin argumentti: 262,0°
Keskianomalia: -1,7°
Epookki: 2015 DEC 27 20:48:33
orbit plot

Ei-interaktiivinen kuvaaja | Interaktiivinen kuvaaja

position vs time
speed and acceleration