🇳🇴 🇬🇧 🇩🇪 🇨🇿 🇫🇮

Meteor über Hvide Sande 2015-12-27 20:48:33 UTC

KML-Datei  |  Interaktive Karte

Die Karte zeigt die Peilungen für den Meteor. Die helleren Linien zeigen die Richtungen von den Beobachtungsorten beim Erscheinen des Meteors, und die dunkleren Linien, wo er zuletzt gesehen wurde. Der blaue Pfeil zeigt die sichtbare Bahn des Meteors.

static map
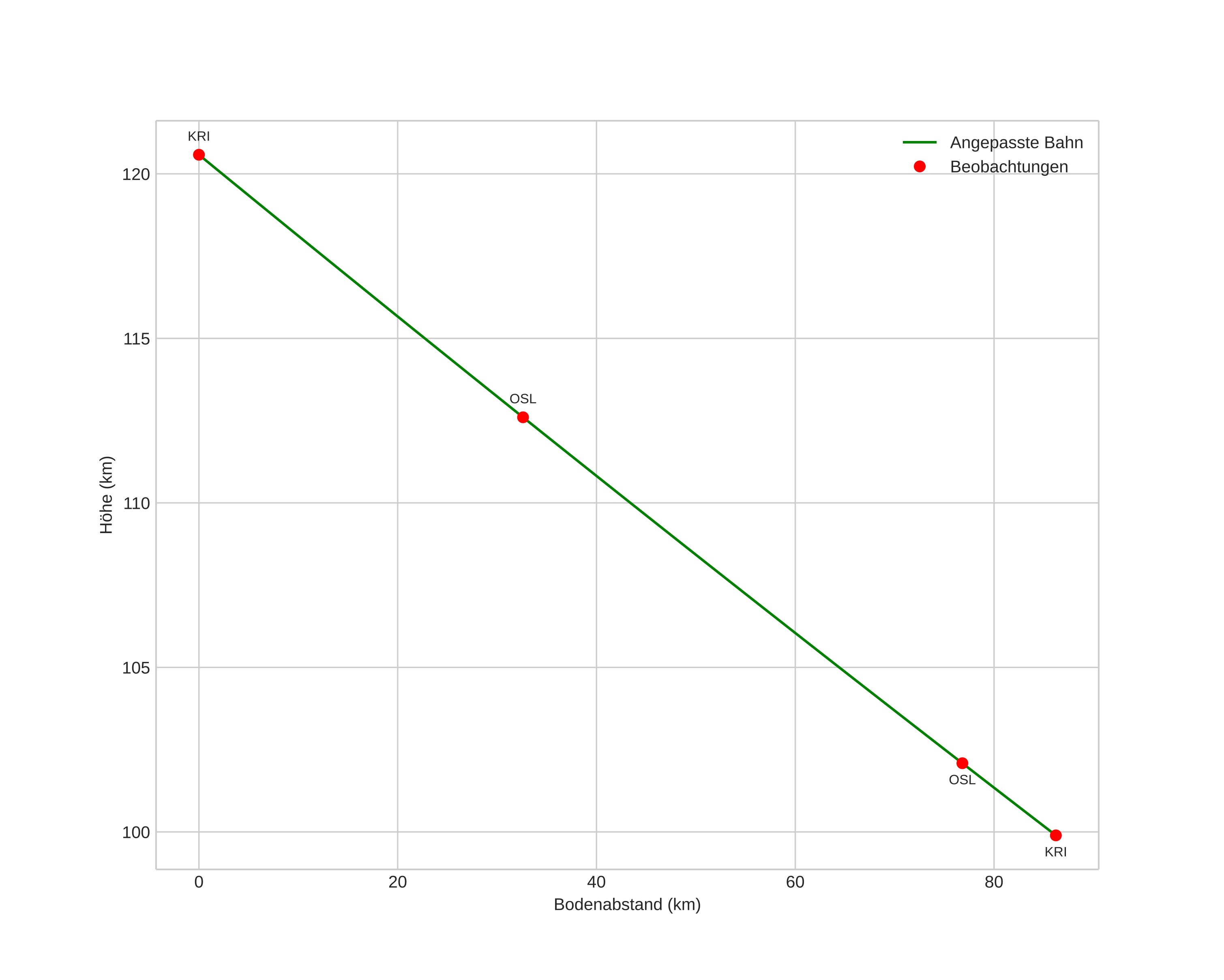
height profile
Atmosphärische Bahn des Meteors:
Anfangshöhe: 120,6 km
Endhöhe: 99,9 km
Startposition: 56,792N 8,211E
Endposition: 56,378N 7,021E
Richtung: 238,2°
Neigungswinkel: 13,5°
Eintrittsgeschwindigkeit: 66,1 km/s
Rektaszension des Radianten: 11:06 (166,5°)
Deklination des Radianten: 28,0°
Meteorstrom: desember-leonis-minoridene
Bahnelemente des Meteoroiden:
Periheldistanz: 0,545 AU
Exzentrizität: 1,071
Inklination: 135,2°
Länge des aufsteigenden Knotens: 275,6°
Argument des Perihels: 262,0°
Mittlere Anomalie: -1,7°
Epoche: 2015 DEC 27 20:48:33
orbit plot

Nicht-interaktives Diagramm | Interaktives Diagramm

position vs time
speed and acceleration