🇳🇴 🇬🇧 🇩🇪 🇨🇿 🇫🇮

Meteor, poloha: Helgoland 2016-04-21 21:21:59 UTC

Soubor KML  |  InteraktivnĂ­ mapa

Mapa zobrazuje dráhy meteoru. Světlejší čáry ukazují směry od pozorovacích stanic při objevení se meteoru a tmavší čáry, kde byl naposledy viděn. Modrá šipka značí viditelnou dráhu meteoru.

static map
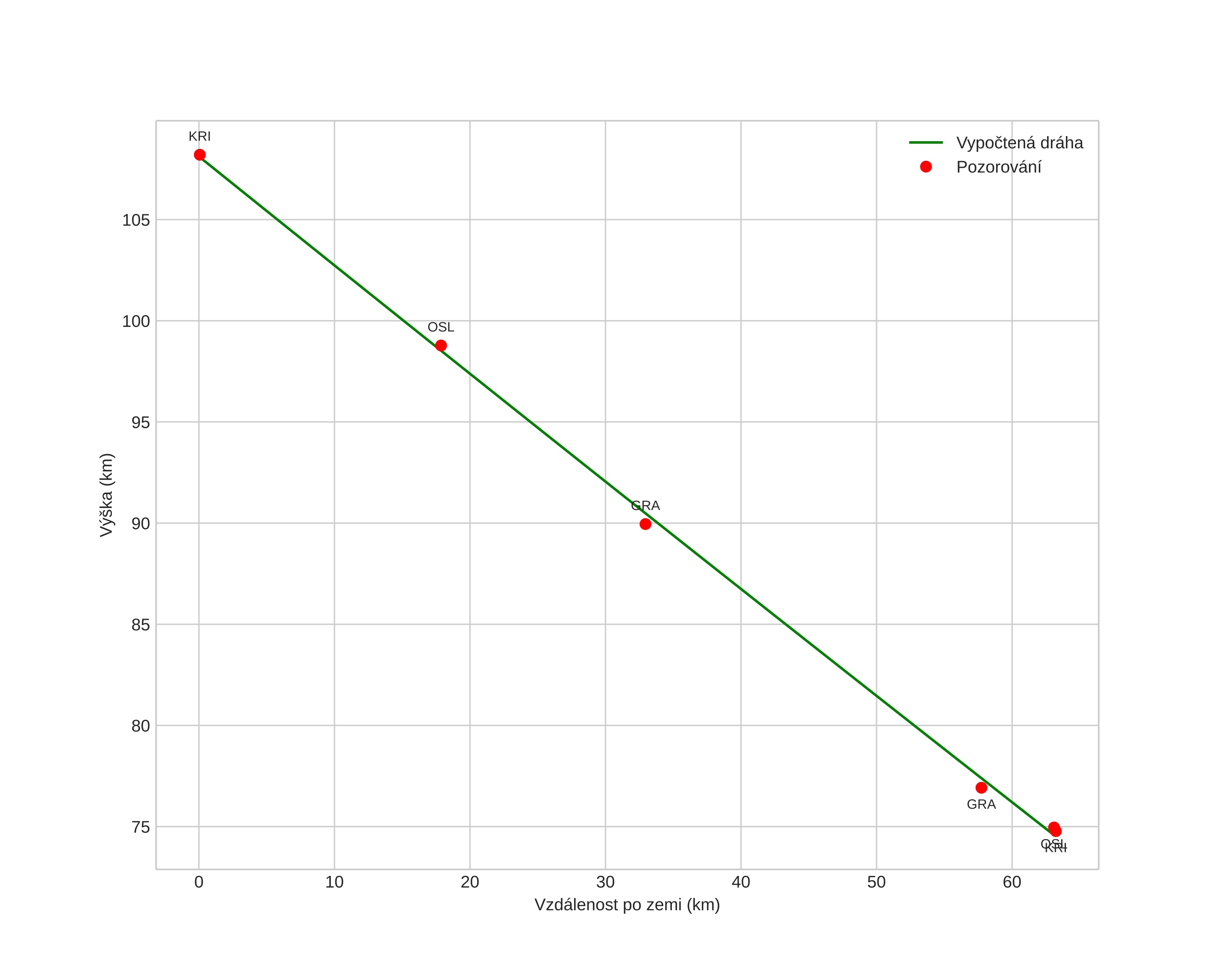
height profile
Atmosférická dráha meteoru:
Počáteční výška: 108,1 km
Konečná výška: 74,6 km
Počáteční poloha: 55,174N 8,201E
Konečná poloha: 54,981N 7,269E
Směr: 250,5°
Sklon: 28,0°
VstupnĂ­ rychlost: 50,9 km/s
Rektascenze radiantu: 17:50 (267,7°)
Deklinace radiantu: 33,1°
MeteorickĂ˝ roj: Lyridy
Elementy dráhy meteoroidu:
Vzdálenost v periheliu: 0,897 AU
Excentricita: 1,226
Sklon dráhy: 79,8°
Délka vzestupného uzlu: 32,0°
Argument perihelia: 216,5°
Střední anomálie: -2,8°
Epocha: 2016 APR 21 21:21:59
orbit plot

NeinteraktivnĂ­ graf | InteraktivnĂ­ graf

position vs time
speed and acceleration