🇳🇴 🇬🇧 🇩🇪 🇨🇿 🇫🇮

Meteor über Helgoland 2016-04-21 21:21:59 UTC

KML-Datei  |  Interaktive Karte

Die Karte zeigt die Peilungen für den Meteor. Die helleren Linien zeigen die Richtungen von den Beobachtungsorten beim Erscheinen des Meteors, und die dunkleren Linien, wo er zuletzt gesehen wurde. Der blaue Pfeil zeigt die sichtbare Bahn des Meteors.

static map
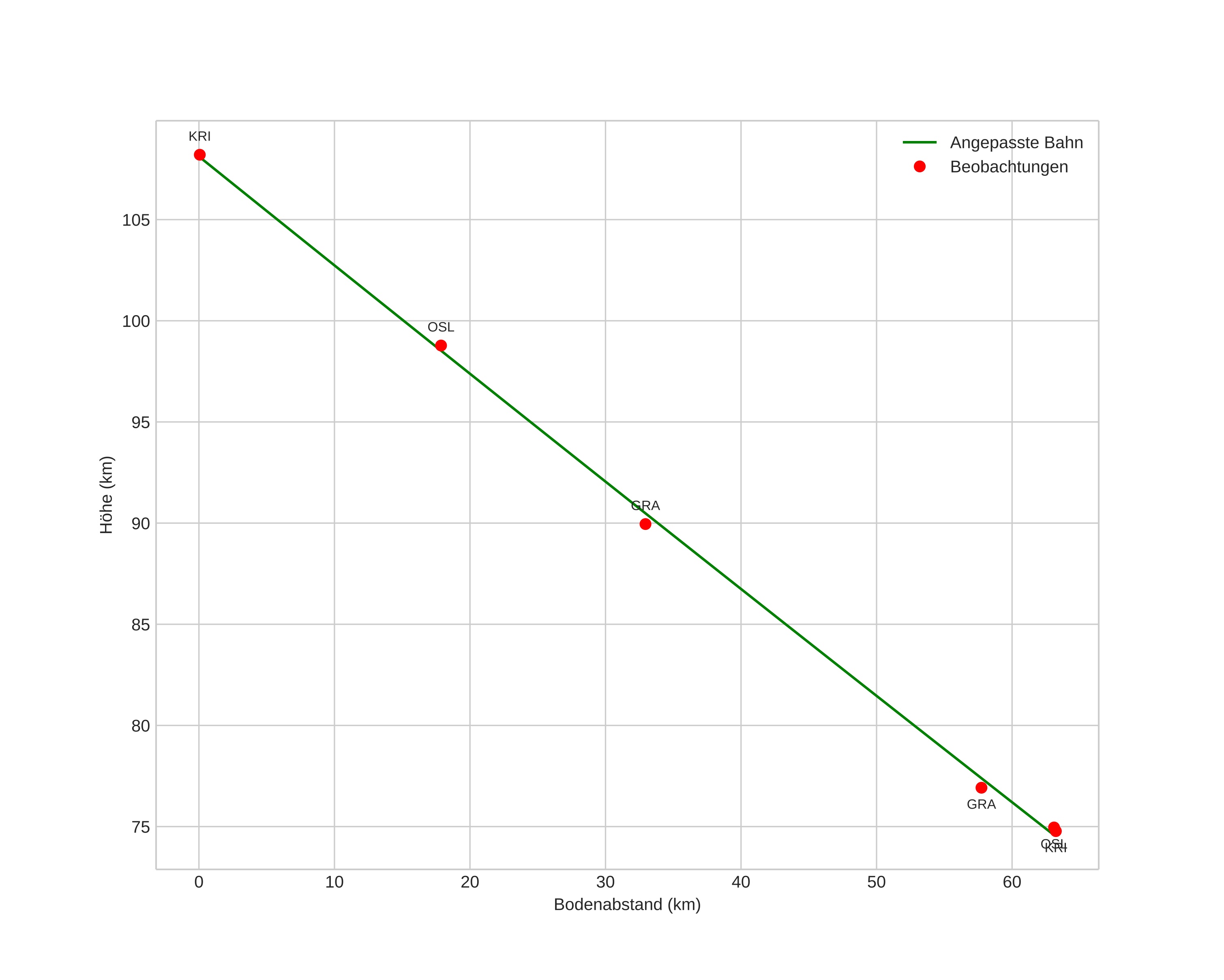
height profile
Atmosphärische Bahn des Meteors:
Anfangshöhe: 108,1 km
Endhöhe: 74,6 km
Startposition: 55,174N 8,201E
Endposition: 54,981N 7,269E
Richtung: 250,5°
Neigungswinkel: 28,0°
Eintrittsgeschwindigkeit: 50,9 km/s
Rektaszension des Radianten: 17:50 (267,7°)
Deklination des Radianten: 33,1°
Meteorstrom: Lyriden
Bahnelemente des Meteoroiden:
Periheldistanz: 0,897 AU
Exzentrizität: 1,226
Inklination: 79,8°
Länge des aufsteigenden Knotens: 32,0°
Argument des Perihels: 216,5°
Mittlere Anomalie: -2,8°
Epoche: 2016 APR 21 21:21:59
orbit plot

Nicht-interaktives Diagramm | Interaktives Diagramm

position vs time
speed and acceleration