🇳🇴 🇬🇧 🇩🇪 🇨🇿 🇫🇮

Meteor Helgolandin yllä 2016-04-21 21:21:59 UTC

KML-tiedosto  |  Interaktiivinen kartta

Kartta näyttää meteorin suuntahavainnot. Vaaleammat viivat näyttävät suunnat havaintoasemilta meteorin ilmestyessä, ja tummemmat viivat näyttävät, missä se viimeksi nähtiin. Sininen nuoli näyttää meteorin näkyvän lennon.

static map
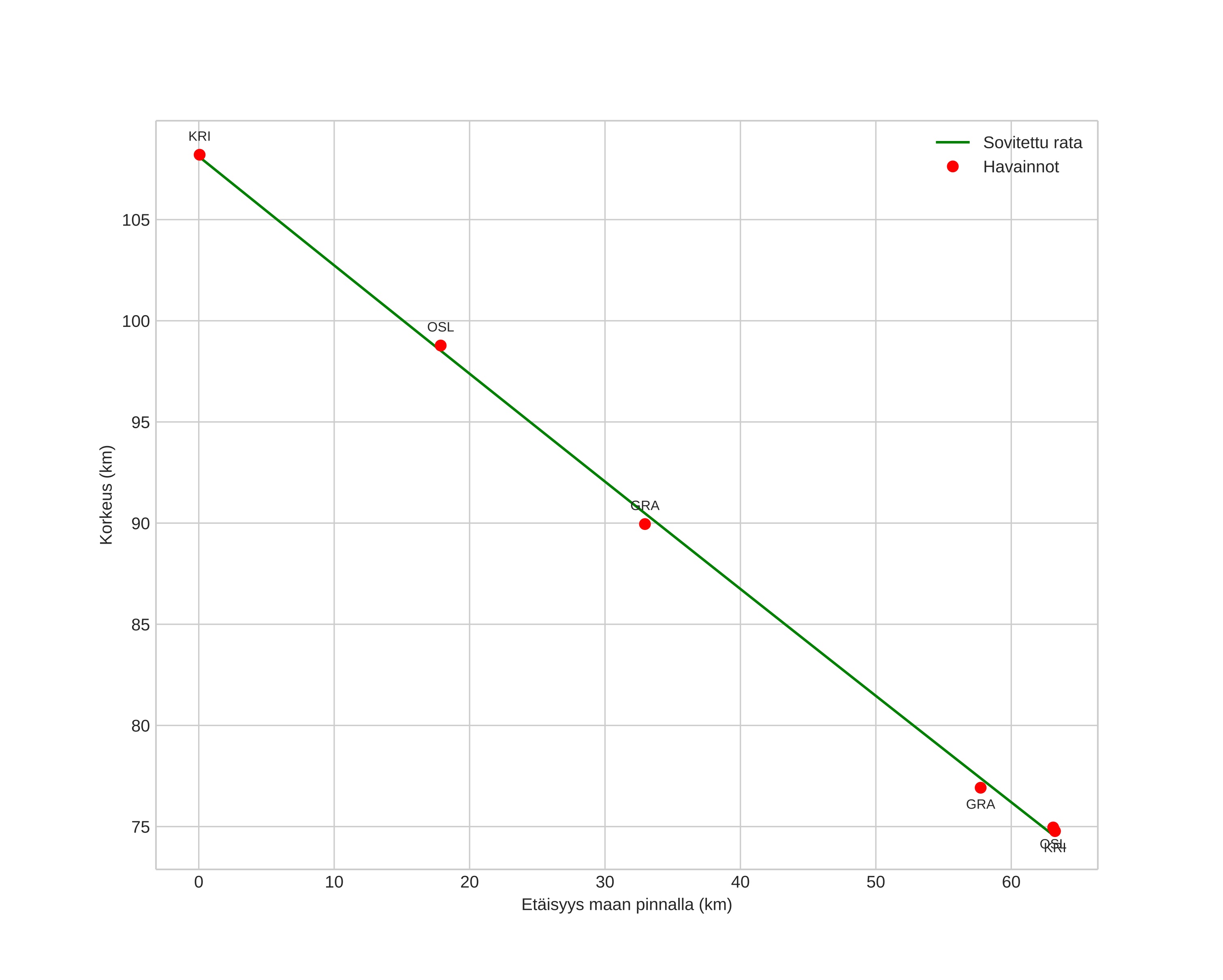
height profile
Meteorin ilmakehärata:
Alkukorkeus: 108,1 km
Loppukorkeus: 74,6 km
Alkupiste: 55,174N 8,201E
Loppupiste: 54,981N 7,269E
Suunta: 250,5°
Kallistuskulma: 28,0°
Tulonopeus: 50,9 km/s
Radiantin R,A,: 17:50 (267,7°)
Radiantin Dekl,: 33,1°
Meteoriparvi: Lyridit
Meteoroidin rataelementit:
Perihelietäisyys: 0,897 AU
Eksentrisyys: 1,226
Inklinaatio: 79,8°
Nousevan solmun pituus: 32,0°
Perihelin argumentti: 216,5°
Keskianomalia: -2,8°
Epookki: 2016 APR 21 21:21:59
orbit plot

Ei-interaktiivinen kuvaaja | Interaktiivinen kuvaaja

position vs time
speed and acceleration