🇳🇴 🇬🇧 🇩🇪 🇨🇿 🇫🇮

Meteor, poloha: Arnö 2016-12-09 06:34:04 UTC

Soubor KML  |  Interaktivní mapa

Mapa zobrazuje dráhy meteoru. Světlejší čáry ukazují směry od pozorovacích stanic při objevení se meteoru a tmavší čáry, kde byl naposledy viděn. Modrá šipka značí viditelnou dráhu meteoru.

static map
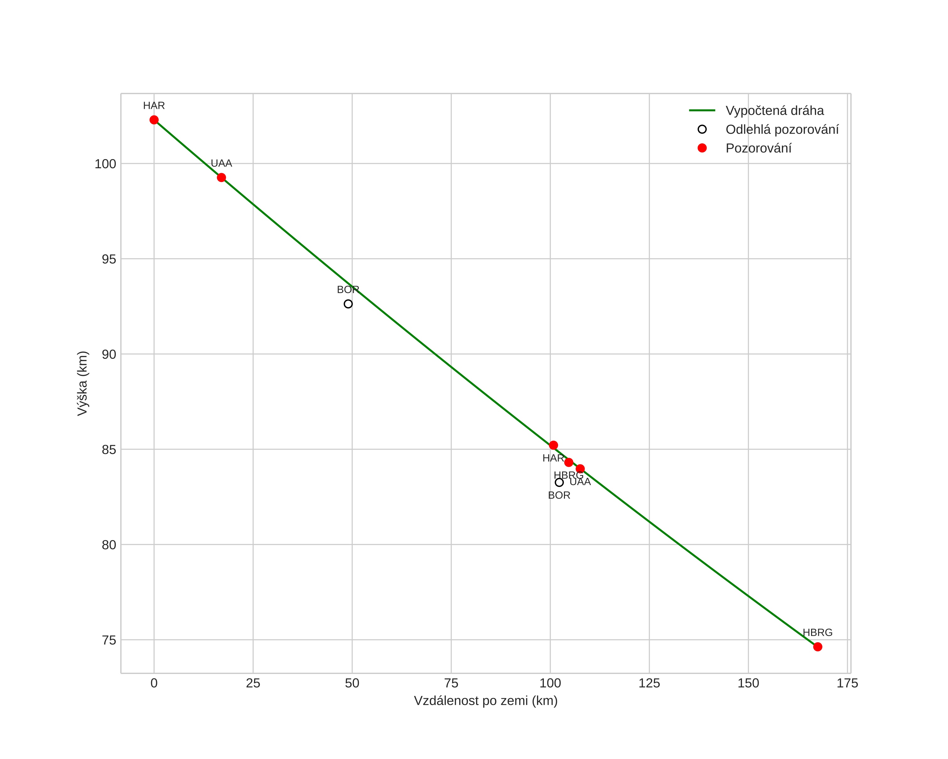
height profile
Atmosférická dráha meteoru:
Počáteční výška: 102,3 km
Konečná výška: 74,6 km
Počáteční poloha: 60,674N 15,792E
Konečná poloha: 60,414N 18,810E
Směr: 98,6°
Sklon: 9,4°
Vstupní rychlost: 38,4 km/s
Rektascenze radiantu: 06:34 (98,6°)
Deklinace radiantu: 10,5°
Meteorický roj: Monocerotidy
Elementy dráhy meteoroidu:
Vzdálenost v periheliu: 0,204 AU
Excentricita: 0,932
Sklon dráhy: 25,3°
Délka vzestupného uzlu: 77,4°
Argument perihelia: 130,1°
Střední anomálie: 353,2°
Epocha: 2016 DEC 09 06:34:04
orbit plot

Neinteraktivní graf | Interaktivní graf

position vs time
speed and acceleration