🇳🇴 🇬🇧 🇩🇪 🇨🇿 🇫🇮

Meteor over Arnö 2016-12-09 06:34:04 UTC

KML file  |  Interactive map

The map shows the bearings for the meteor. The lighter lines show the directions from the observation sites at the meteor's appearance, and the darker lines show where it was last seen. The blue arrow indicates the visible path of the meteor.

static map
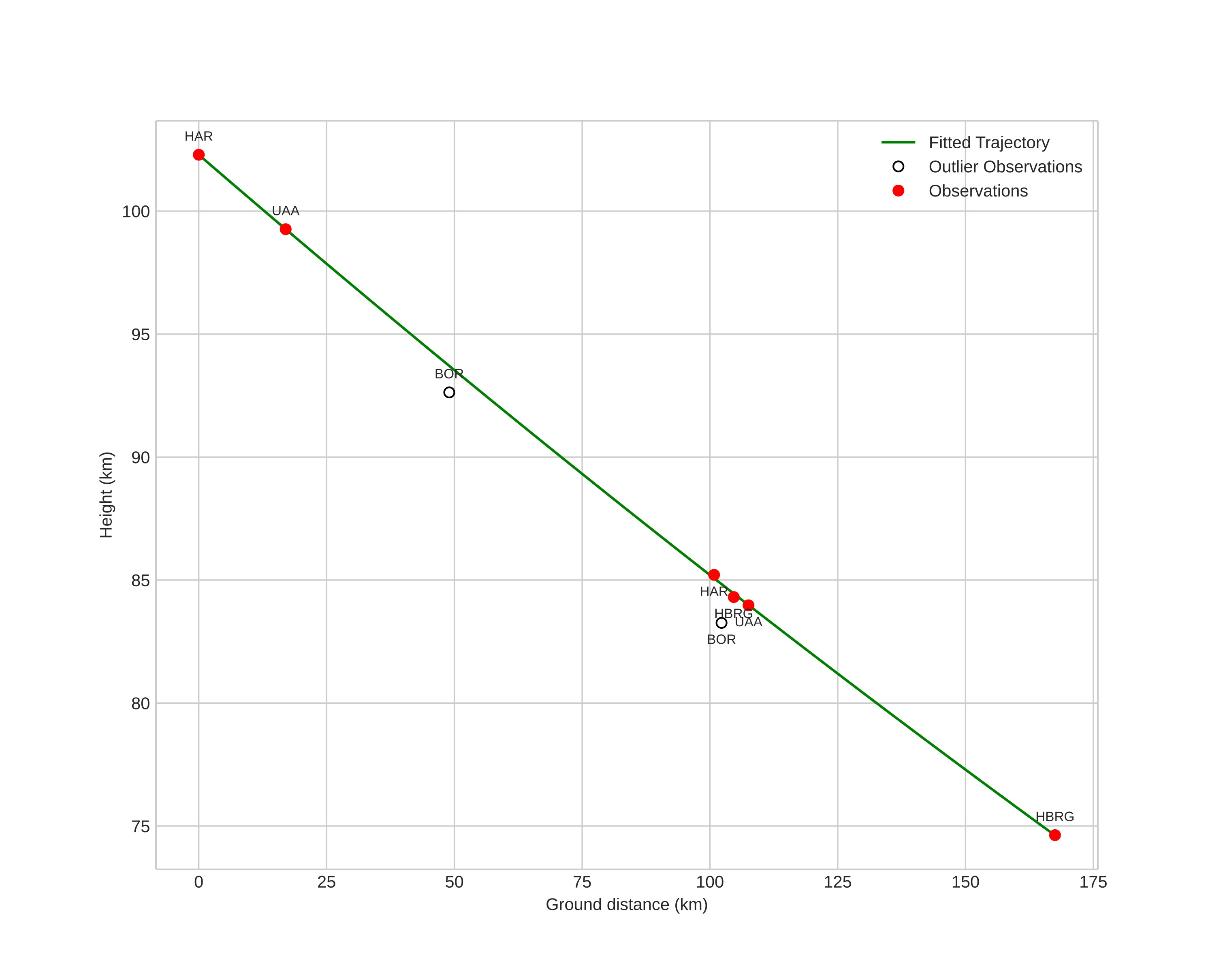
height profile
Meteor's Atmospheric Trajectory:
Start height: 102.3 km
End height: 74.6 km
Start position: 60.674N 15.792E
End position: 60.414N 18.810E
Direction: 98.6°
Inclination angle: 9.4°
Entry speed: 38.4 km/s
Radiant R.A.: 06:34 (98.6°)
Radiant Dec.: 10.5°
Meteor Shower: Monocerotids
Meteoroid's Orbital Elements:
Perihelion distance: 0.204 AU
Eccentricity: 0.932
Inclination: 25.3°
Long. of Asc. Node: 77.4°
Argument of Perihelion: 130.1°
Mean Anomaly: 353.2°
Epoch: 2016 DEC 09 06:34:04
orbit plot

Non-interactive plot | Interactive plot

position vs time
speed and acceleration

Harestua (HAR) cam3


gnomonic
Videos
• Gnomonic
• Gnomonic with coordinates
• Original
• Original with coordinates
Images
• Gnomonic
• Gnomonic with coordinates
• Gnomonic with labels
• Original
• Original with coordinates
• Original with mask
Text Files
• Detection
• Observation
• Coordinates
• Error Messages
• Log
Brightness