🇳🇴 🇬🇧 🇩🇪 🇨🇿 🇫🇮

Meteor Arnöin yllä 2016-12-09 06:34:04 UTC

KML-tiedosto  |  Interaktiivinen kartta

Kartta näyttää meteorin suuntahavainnot. Vaaleammat viivat näyttävät suunnat havaintoasemilta meteorin ilmestyessä, ja tummemmat viivat näyttävät, missä se viimeksi nähtiin. Sininen nuoli näyttää meteorin näkyvän lennon.

static map
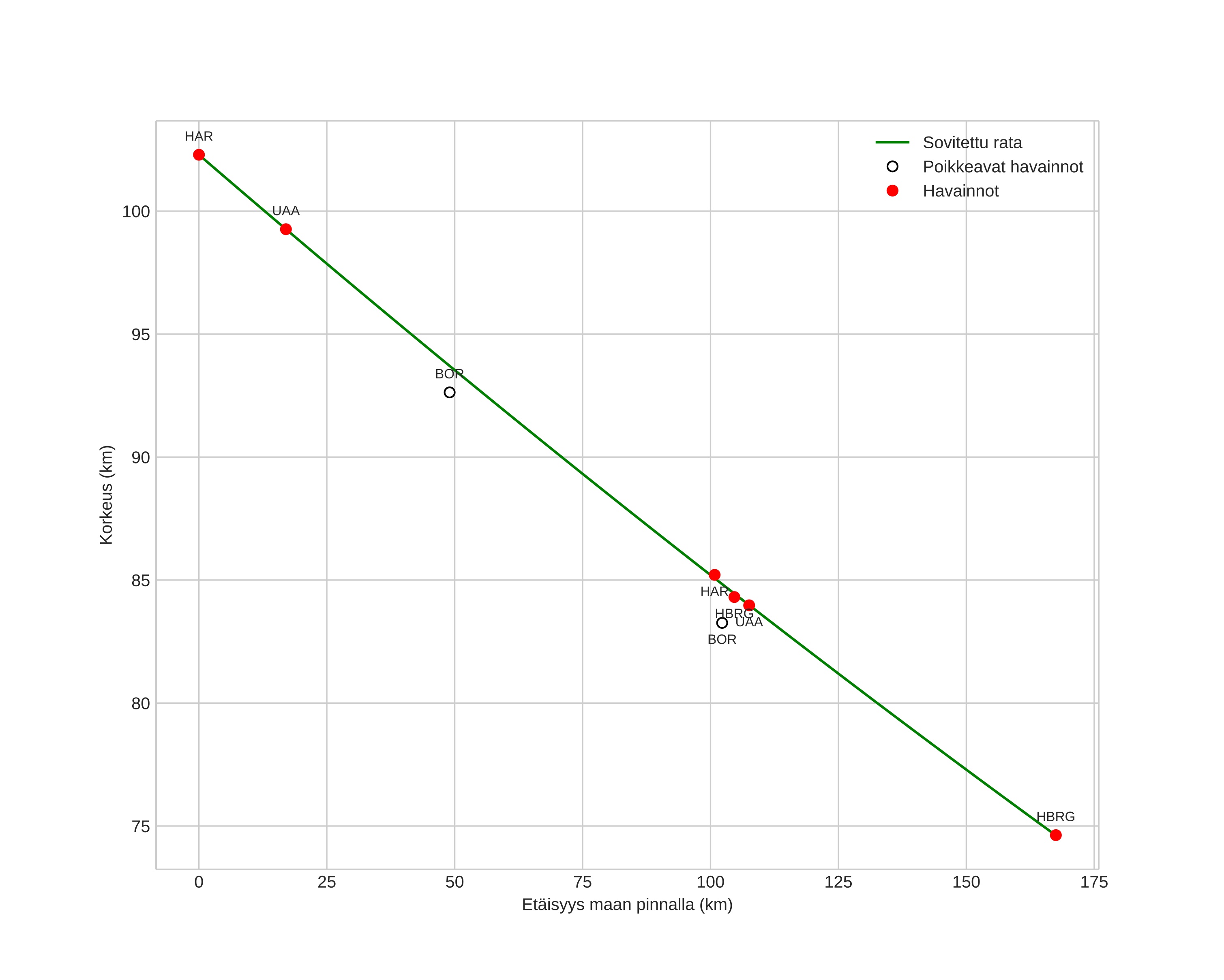
height profile
Meteorin ilmakehärata:
Alkukorkeus: 102,3 km
Loppukorkeus: 74,6 km
Alkupiste: 60,674N 15,792E
Loppupiste: 60,414N 18,810E
Suunta: 98,6°
Kallistuskulma: 9,4°
Tulonopeus: 38,4 km/s
Radiantin R,A,: 06:34 (98,6°)
Radiantin Dekl,: 10,5°
Meteoriparvi: Monoserotidit
Meteoroidin rataelementit:
Perihelietäisyys: 0,204 AU
Eksentrisyys: 0,932
Inklinaatio: 25,3°
Nousevan solmun pituus: 77,4°
Perihelin argumentti: 130,1°
Keskianomalia: 353,2°
Epookki: 2016 DEC 09 06:34:04
orbit plot

Ei-interaktiivinen kuvaaja | Interaktiivinen kuvaaja

position vs time
speed and acceleration

Harestua (HAR) cam3


gnomonic
Videot:
• Gnomoninen
• Gnomoninen koordinaateilla
• Alkuperäinen
• Alkuperäinen koordinaateilla
Kuvat:
• Gnomoninen
• Gnomoninen koordinaateilla
• Gnomoninen merkinnöillä
• Alkuperäinen
• Alkuperäinen koordinaateilla
• Alkuperäinen maskilla
Tekstitiedostot:
• Havaintoraportti
• Observaatio
• Koordinaatit
• Virheilmoitukset
• Loki
Kirkkaus