🇳🇴 🇬🇧 🇩🇪 🇨🇿 🇫🇮

Meteor, poloha: Hornindal 2017-02-14 04:16:10 UTC

Soubor KML  |  InteraktivnĂ­ mapa

Mapa zobrazuje dráhy meteoru. Světlejší čáry ukazují směry od pozorovacích stanic při objevení se meteoru a tmavší čáry, kde byl naposledy viděn. Modrá šipka značí viditelnou dráhu meteoru.

static map
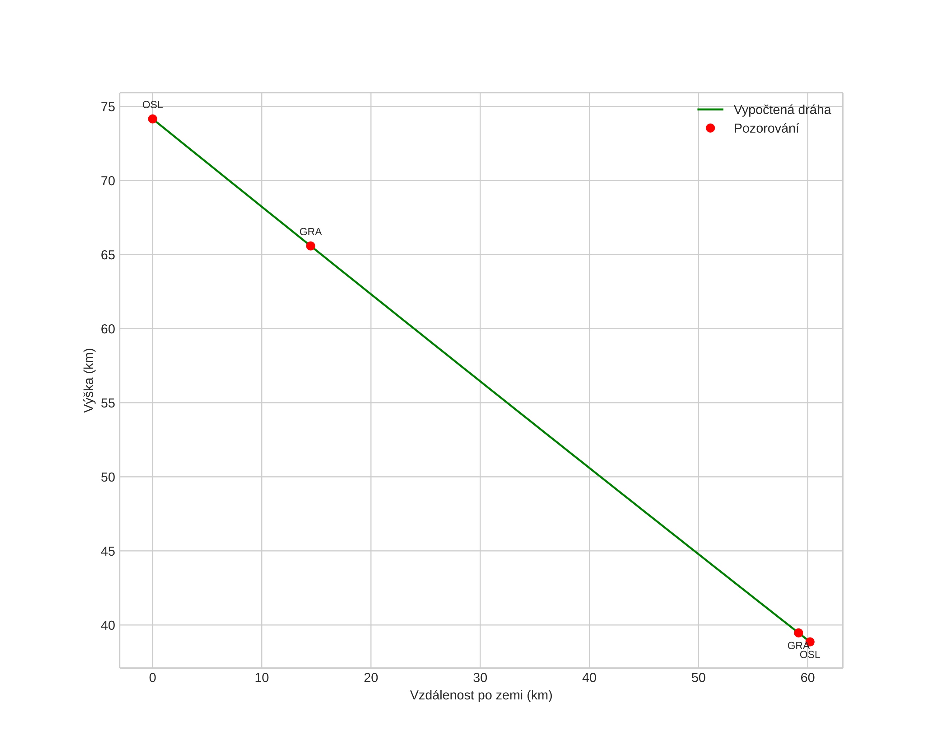
height profile
Atmosférická dráha meteoru:
Počáteční výška: 74,2 km
Konečná výška: 38,9 km
Počáteční poloha: 62,221N 5,655E
Konečná poloha: 61,918N 6,613E
Směr: 123,7°
Sklon: 30,4°
VstupnĂ­ rychlost: 15,5 km/s
Rektascenze radiantu: 06:49 (102,4°)
Deklinace radiantu: 31,6°
MeteorickĂ˝ roj: sporadickĂ˝
Elementy dráhy meteoroidu:
Vzdálenost v periheliu: 0,942 AU
Excentricita: 0,671
Sklon dráhy: 2,5°
Délka vzestupného uzlu: 325,4°
Argument perihelia: 207,7°
Střední anomálie: 355,8°
Epocha: 2017 FEB 14 04:16:10
orbit plot

NeinteraktivnĂ­ graf | InteraktivnĂ­ graf

position vs time
speed and acceleration