🇳🇴 🇬🇧 🇩🇪 🇨🇿 🇫🇮

Meteor Hornindalin yllä 2017-02-14 04:16:10 UTC

KML-tiedosto  |  Interaktiivinen kartta

Kartta näyttää meteorin suuntahavainnot. Vaaleammat viivat näyttävät suunnat havaintoasemilta meteorin ilmestyessä, ja tummemmat viivat näyttävät, missä se viimeksi nähtiin. Sininen nuoli näyttää meteorin näkyvän lennon.

static map
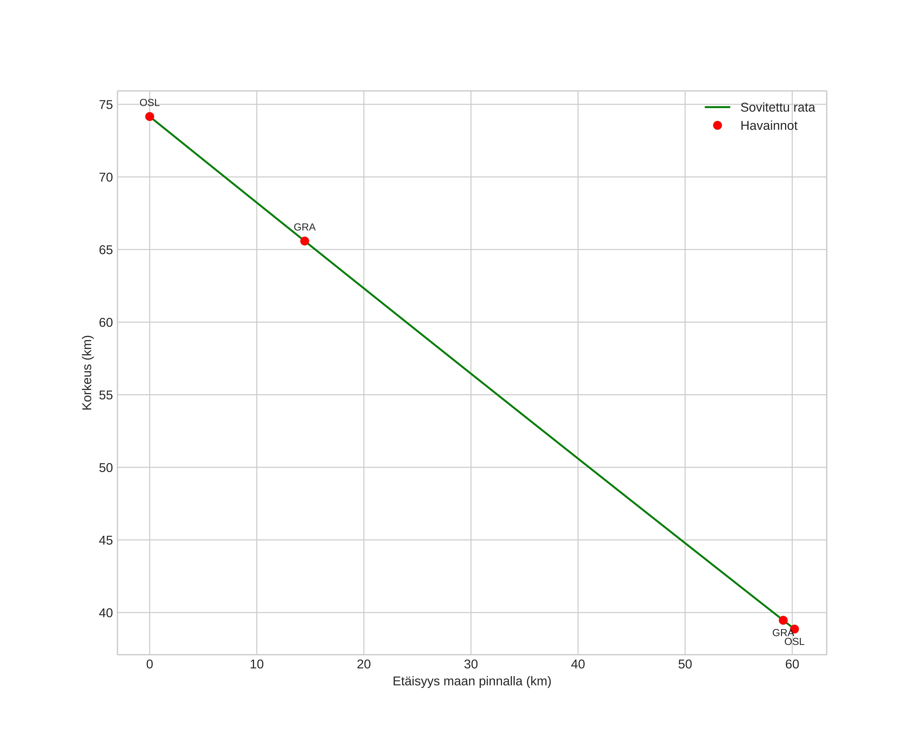
height profile
Meteorin ilmakehärata:
Alkukorkeus: 74,2 km
Loppukorkeus: 38,9 km
Alkupiste: 62,221N 5,655E
Loppupiste: 61,918N 6,613E
Suunta: 123,7°
Kallistuskulma: 30,4°
Tulonopeus: 15,5 km/s
Radiantin R,A,: 06:49 (102,4°)
Radiantin Dekl,: 31,6°
Meteoriparvi: Sporadinen
Meteoroidin rataelementit:
Perihelietäisyys: 0,942 AU
Eksentrisyys: 0,671
Inklinaatio: 2,5°
Nousevan solmun pituus: 325,4°
Perihelin argumentti: 207,7°
Keskianomalia: 355,8°
Epookki: 2017 FEB 14 04:16:10
orbit plot

Ei-interaktiivinen kuvaaja | Interaktiivinen kuvaaja

position vs time
speed and acceleration