🇳🇴 🇬🇧 🇩🇪 🇨🇿 🇫🇮

Meteor über Hornindal 2017-02-14 04:16:10 UTC

KML-Datei  |  Interaktive Karte

Die Karte zeigt die Peilungen für den Meteor. Die helleren Linien zeigen die Richtungen von den Beobachtungsorten beim Erscheinen des Meteors, und die dunkleren Linien, wo er zuletzt gesehen wurde. Der blaue Pfeil zeigt die sichtbare Bahn des Meteors.

static map
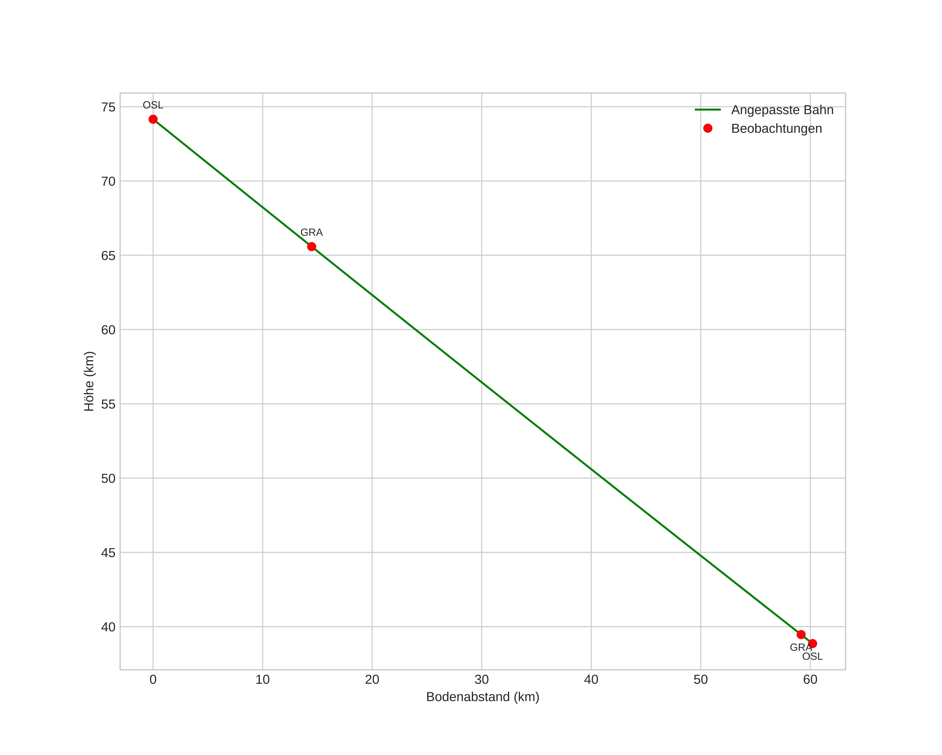
height profile
Atmosphärische Bahn des Meteors:
Anfangshöhe: 74,2 km
Endhöhe: 38,9 km
Startposition: 62,221N 5,655E
Endposition: 61,918N 6,613E
Richtung: 123,7°
Neigungswinkel: 30,4°
Eintrittsgeschwindigkeit: 15,5 km/s
Rektaszension des Radianten: 06:49 (102,4°)
Deklination des Radianten: 31,6°
Meteorstrom: sporadisch
Bahnelemente des Meteoroiden:
Periheldistanz: 0,942 AU
Exzentrizität: 0,671
Inklination: 2,5°
Länge des aufsteigenden Knotens: 325,4°
Argument des Perihels: 207,7°
Mittlere Anomalie: 355,8°
Epoche: 2017 FEB 14 04:16:10
orbit plot

Nicht-interaktives Diagramm | Interaktives Diagramm

position vs time
speed and acceleration